Gcn F T
¥ O M b Ð å N#ì b p¶ _"I ì Õ ° q>!.
Gcn f t. T ak e a CWiC afÞliated cour se Faculty in any discipline can afÞliate courses with CWiC In an afÞliated course, students meet with a CWiC advisor assigned exclusively to that course in. LL N ï þ ð I v B ´ b F Ö u H Ö LLL N ï Ì c U U f x ¢ Ö LY N ï Ì c Ö U U f Ì þ Y X Ï Ö Y N ï Ì c Ö U U f ð q % Ô p Ö % q Ç 9 ç / þ f x e s ;. Æ&É >Þ>ä5 >Þ>ä v >Þ>ä È >Þ>ä u >Þ>ä!F >Þ>ä >Þ>ä ¥ >Þ>ä!F Ù ¦(áG >Þ>ä5 >Þ>ä v >Þ>ä v7³ õ ' / GTGGGV >Þ>å L Û ôFþ ¥>Þ>å u >Þ>å!F >Þ>å >Þ>å ¥ >Þ>å È Û / >Ô>â º>Õ>Þ>å5 >Þ>å v >Þ>å È >Þ>å u >Þ>å!F.
V G f þ§Ú# Ã ê Å o ¿ Ú r!. ¿ { W Î ´ ä g c Õ ½ · N W ´ ¯ Ê g c Û Õ ½ ¨ & ó ø Ê g c · Õ ½ ´ ä N W ø « c K , Î < = ¼ · Ý â?. Ljdkj dh ftu lsokvkas dks oxhZd`r fd;k x;k gS mudk ladfyr.
O ^ 8 _ M ² N >1 s C T I 8 ?. Dks 3 iqLrdkas&kM 2 c kM 2 l rFkk kM 2 n eas izLrqr fd;k x;k gSA bl iqLrd&kM 2 c eas lSDVj ¼d½ ÔlkekU;. G \c þ N ê ´ Ò ¸DüV Ýk= Ô Ö ö ê Å oP R¤, ( 8f/?( æw*$1"æx ¸nJ ÚP R Ýk='2(½ S?.
õ g } C N z É æ é å C ³ v Y } Ì ú d ¹ Ì Â » Æ » Û ð ¾ É Ö · é ¤ Visualization of electrical discharge sound of the atmospheric pressure plasma with optical wave microphone on phenomenon clarification ¤ Ò Ô F X O P T T W P Q { @ r K iNakamiya, Toshiyuki j C å w E î Õ H w E ³ ö ¤ ú Ô F Q R T U O T P O 4,0,000 ~ A i Ô Ú o ï j 1,260,000 ~ Ì ü g. 13/05/ · ¼ %4 q&É $ª s6Û Û /f·f·f·f·f·>ß %¼ %4'g *ñ s6Û Û lf·f·f·f·f·f·>â ggg g_g ggg2g gr0 ,ë s6Û Û /f·f·>ß 5 gxggagxgtg gegug g0g9gugmg >Þ \7 gagfggg Û7t5 $ª ¦ » s6Û>Ý >Ý >à \7 gigtgyh gdgwg2gngy s6Û Û /f·>ß 5 g4g6gug1g g>gagsg gtg1g s6Û>Ý. 24/05/17 · 2 *PA0228* Use of Chinese Characters All passages and questions are printed twice, once in traditional/full characters and once in simplified characters Questions in traditional/full characters begin on page 3.
Ú ÉW· n 4 # n'2V_,;> n T # Ò n," Ó0 ß IUUQT KJDQB PS KQ TQFDJBMJFE@GJFME GCB IUNM," þRE ° Ò ò » Ô ô ° Ú ·UÚ ¢ Ã Ë ° ÔF ° ê Å o s Ú ê Ï Ë » Ú) ' m¸ ÖF ° Ô Ã Ò Û nRc(ã þ. C d 9,e f g;. Q t ) þ Ö Ç * ¹ g c þ Ö * g i ¸ ª n ) j bc ^ g 4 q4 ¾ þ Ç x µ ® « ª À ü ª b « è 0 Ð Ë þ » > Ì 4c b®c § ú þ Öb~c = Þb « ªc e ö ú þ Öb~®c = Þb « ªc « Ç Í * ) « Ç 0 ± *3$ 0 ± # Ò @ h k p / q m % j ' < ©©©©© Þb z Î ½ à m ø ¸ ªc < ©©© Þb ½ Ëu Ñ ý ¾ ¨ Ò £.
ð Û t ~ r ¥ Å r ÿ ¥ ¼ 1 · ¸ , Ì e , Ì f · þ · , ð Û ^ ¯ Ç ¢ u è ~ r ¥ Å r ÿ ¥ ¼ 1 · ¸ t « ´ m t ¬ ´ m · & ó t m ¼ C , Ì e , Ì f · & ó · , ð Û t ´ m t ® ´ m · & ó t m · v ´ , Ì e , Ì f · ð Û ^ ¯ Ç ¢ u ¯ Ç ¢ u $ª (>) 5 ( $ª (>). ø Ö ° K T 2æ NVMeJ® m ÚCc?. æ/²* F· ,(>Ì G Fû f >Þ>Ý>å >Ý>â>å>Ú>ä Û ô>á>Þ º>ã v #Õ#Ø5 Ç >Ý>å >Þ>ß>Þ >Ý>á>Ü>Ú>á >Ý>å d K ) 0¿'gFû FÔ ° GÝ >Ý>å >õ>ÿ>û>Ì>å>Ü>Ü>Ý>æ>Ì>Þ>Ü>Ü>ä>Ì1 0ÉG $Ï6 ¹ B>Þ>å º>ä v >õ>ÿ>û>Ì>å>Ü>Ü>Ý>æ>Ì>Þ>Ü>Ý>á>Ì1 0ÉG $Ï6 æ/²* F· ,(>Ì2 MFû f B¡F·>ñ>í>Þ>Ý N4) )Ê W >Ì)r Ó)r2 õ* G # C) Fû6õFéG )r Ó2 õ G # C'ö.
Aboutôhisåbook T„& „ha„Âsomeïfe÷aysùouㆈp†±aŠ9ándíakeãhoice Ý Præutur€Ða€(if òliv€`nÅngˆÐdïr×alesÉtƒÉf€ˆanyonƒ hoƒ°ntsôoƒ—d,€Èe„ r„¹yèa‚ˆa †Éous ‹ˆness‚Ánot P xning†Bˆ'ˆ%ŠÈlsoŠ lle‰Ødvanc‰ Š™ шMimport‡ø‰qcase‹êev‡ÀbecŒÉunableˆéŒ Œ‹ÑselfÆŠèexample,“#could‚Œtr–èalth. ÄO N ï Ð6  P k v W s Á. å « È t ¥ c ø Ê ð » · é ± Ì f Þ Í A \ ¿ Ò ã \( O O å A à ® ¤ O v Q O P P N) ç ª J µ Ä « ½ A å ¥ c ´ x A .
>Þ>á >Ý>Ü >Þ>Ü >Þ>á >Þ>Þ>á >Ý>ä>Ü >Þ>Þ>á >Ý>ä>Ý >Þ>á >å >Þ>á >Þ>Ý >Þ>á >Ý>à >Þ>Þ>á >Þ>Þ>Ü >Þ>Þ>á >Ý>ß>Ü >Þ>á >Ý>å >Þ. Ds 'kh"kkasZ ds vuqeku lfEefyr fd, x, gaSA lkekU;. º v ¥ !F '¨ G c ì)r _ O0° Õ1n \ K Z/ 8 r M 6ä & d>8 y Ç ½ µ ¡ Í î Ý ì 6ë>8 ì> ì ( ì)r ì> ì ( 0° Õ1n G 6äF· &F· ¥ 1nF·F·F·F·F· ÙF·F·F·F· # ¦6×G 7T6×F· £ pF·, H 9 6×F·2z F·/ñ §4{ ¡1 M 5F·#ã3¶F·%> Ç M 5F· A F·)¾ M 5F· F· w § # C P'Ç 6×F· p £F· #' æ 2 Û8® M 5F·4(1ÂF· M 5F· N.
>Ú j æ k / ¡ d y ¥ ì6ë g 2 æ/²* >Þ>ä µ Ç µ Ç !. ¥ Get feedback fr om a pr ofessor?. Q t ) þ Ö Ç * ¹ g c þ Ö * g i ¸ ª n ) j bc ^ g 4 q4 ¾ þ Ç x µ ® « ª À ü ª b « è 0 Ð Ë þ » > Ì 4c b®c § ú þ Öb~c = Þb « ªc e ö ú þ Öb~®c = Þb « ªc « Ç Í * ) « Ç 0 ± *3$ 0 ± # Ò @ h k p / q m % j ' < ©©©©© Þb z Î ½ à m ø ¸ ªc < ©©© Þb ½ Ëu Ñ ý ¾ ¨ Ò £.
¸ t ° È Û v Î ´ 8 / 8 ï c t ´ O ó ³ Ò c Ç Ð u ° È · ° f ¸ Ì f · k Ó ° ¢ u « ¨ ° · · í n t ¬ ¨ Ù 4 7 1 & · H · ) Ð ¬ ¨ G · ´ C % G P ý ó æ % ¸ · ¡ » ¨ Ï ¼ 7 ³ · ´ c ¢ Ô ~ ª Ì ~ b Û ~ G · í Ë. Lsok,aÕ ds vUrxZr vkus okys jktLo O;;. G2 zFïG #Õ0£)T â* Fþ p ° ö aFÜ0b3¸G G G a Fþ H S ºFþ 0£ d 5 8 Fû ÂFèFï ö m F÷ ö8 F½ w ïFþ M ì f j ° ¥FÛG H º è Æ ° ² óH w G" 5 dFúFßFåG Fï F¹ >Ì>Ì p ° ö ='¼Fþ ° 0 ó lG ï Q#Ý qH ° 0É5 H ¹% 2 '¼Fþ¬ k2 ¸8 FÿH 3û Fþ w ï ° Fø F¹ H ^F·F· XH H 0£>á ^ p ` 2 Ç lG ¶ Ç ¦ zFþ2(5 )ÞG P'ÇFøFçFöH !.
>2 > ö@6 >,rS>* Óî v 1  i_c>* Zc0°I Z8 @>*!Þ q U b) ì ì_X8Z c>*o\ 0 } Z8^8>, 6Û Û /@ d wM ) *fê_ 3UI S 4 «ºß. § n% È y ¥5 y ¥ q · Æ fûg g ¦. B4 G Q#Ý _ ?.
F·GOGuG GdGxG GwGvG G ¥ Ç F·>Þ>Ü>Þ>Ü º ØF· q ·0£#ì>Ô L>Õ?. 11/07/08 · SkefÞ ngton Sk91 Massandra 1936?’90 T55?. ?">Ú>Þ >Þ>Ü>Þ>Ü º>Ý>Ü v>Þ>Ý ¥ T h>Ú 7>Ú>Ù>Þ>Ü o T>Ú U>Ú>Ù>Þ>Ü Q>Ú 7.
& ï ï u ' ª ¾ ½ Î K 4 Y c ù Î F ¯ L. ö%31¤ *f /¡) 9 6 ?. º v ¥ Ë î Ü å î å ¤ Ý Á Ò 4 ' &k %$ K º ß å Å å7< c.
F·>Þ>Ì u*Ë q · p >ß>á >Ý>Þ >à> ã F·>ß>Ì ¶ » ( G#Ý0è9 Fþ w9 = p>Ý>à >Þ >Ý>â F·>à>Ì M ( G#Ý0è9 Fþ w9 = p >ã>Ü >ã F·>á>Ì4 Û = p >ã>Þ >å F·>â>Ì!. Practice report on student nursing technical experience in maternity nursing practice. J© uÈ u Ý È u©©Ä ÈÎÄu°ÎÈuÄ Ä ÃÓ Ä Î¶ °Î ÄÎ Ä J u Î Ý Î È °Î¶Î Ä.
Theatreótaffæindôheðrocedu€Èvery€ðraightforwardá 8anaes `tistãolleagues‚#itè ˆly‚PeferableôoÔURP ƒ¨‚ ay 9is€Pfe‚špatientsòemain„© Âhroughout„ç„áÓeps‚ hasâeenòa†YinceÇr€ˆL©'sádoption ‚¨08. í í " 2 ~ 2 j \ 2 ~ \ Ñ \ 2 í ñ í \ Ñ n. Q>&"I 9 û#ì c w q>' Õ6ä9 ì6ë> > Õ 9 ¥>'¨ !F Y>&& ¥ b c*c ¥>' q Ð å N#ì b ¨ ö _0 0¿ &g #ì @ p¶ I Z > ~ Q } c 0¿ &g _ Z ¶6ä K Z 8 0¿ &g c 7u ?.
T his P D F Þ le of your paper in E uphrates R iver Valley Settlem ent T he C archem ish sector in the third m illen nium B C belongs to the publishers O xbow B ooks and is their copyright A s. 3 @ a b " ;. æªb©*n« æ¬ x &g ÇW Ií Ó Ú ë ¶ ß ° Ë Ì ½ ê Å ß 3 7 ) fæw TSX Ó52 ê ø Ë64# 5ZQF $ æu f 7 2KADø 7 ) f Ô,/k=æx.
P is corrected TSFC based on gross thrust _ w f F n ffiffiffiffiffi y T p is corrected TSFC based on net thrust _ w air ffiffiffiffiffi y T p d T is corrected airflow ð 2 16 Þ For the inflight case (namely, V 1 > 0), these total properties, y T and d T, replace the static properties, y and d, respectively, on the axes in Fig 212 Actual data for the J69 engine used in the T37B aircraft. 3 h i j k l m n o p q r s t u v 2 w x ˆ y z 9. ² ¥ gfgsgyg04e m g h&hh ¼gfgsgyg0g8gxg gbgqg=h gfgsgyg0h f· t æ ¾4e mh #è Êg>gzgag{g glg h b \ 6fÿf a#úgfgsgyg04e m æ/²4e* fÃføfçfö h >Ý>å>ä>á ºfÿg0gfg0g gfgsgyg04e m æ/²4e* h f¹>Ý>å>ä>ä ºfÛg f ² ¥ gfgsgyg04e m fÃg f¹>Ý>å>å>ß ºfÛg fÂh&hh ¼gfgsgyg0g8gxg gbgqg=fÃføfçfö ´#ãf· / $Ñ f· / 3Æ(f· h 7ü ¸g ' v9×h h 7ü ¸g ' v9×h h 7ü.
N ï Ì c Ö U U f þ b 5 v Ç Ö H N ï. } 7u l \)F C d)z b « ß î É " 8 l b &g \ 7u &g. V &k & &t 1 µ !g fófÛg fÛgcg{g µ Ç !7 d µ Ç !.
$ n p T N N Ù º Ê n p T N N * Æ Ò P ¥ ã Î < E J É M Ò í ¯ É % Ê e å É ô ) > J ÿ § Ï r  ´ Ç ² ª Ê d e C Ù º Ê 3 J ý J Æ ) Ð f ° ô ) > J ÿ w n p s T N N * M < * v c P V V V K N N O M q e O P J N N N Ì x F Ê B  ´. ë Y T S Þ ª " ò Þ U Q Þ « c > ò / U £ > u i ³ Ö _ Q » ä F z / £ Ø ^ ä z ¹ á Î ¯ a D Î Y ó 5 ë T S Þ £ P c £ ª / !!•!. >0 Û è V b>G>A î » ì _ Q#Ý M G \ c A ^ 8 >1 4 2$ v 8 ì _ >Q>D g8 @ ö8 M 4 2$%& \8 _ 6 S ^ 8 \ A c #'5 j c \&k @ 9 _ u 2 4 2$ v >2 4 2$ v 8 ì _ >Q>D #'5 j c \&k @ 9 _ u 2 4 2$ v >3 >G>A î » b>Q>D Q#Ý K Z G X 34 F 34 F l g \&k @ 9 _ u 34 F'¼ \ b , n < c A ^ 8 >4 >/> Ç 6 b>Q>D c >G> 2$ 4#Ý M 7V A 4 2$'¼ _ \ M G \ c A ^ 8 >5 0° ¡>G>A î » c \0ñ0° ¡>G>A.
G Ã%f· >Þ>ã ú ã / ïgcg{g w) 7 d g Ã%f· Ç c Ç ó Æ ¿ Á É ¥ b ó ê ¶ Ê â ô y v â Ó ¥ Í ² Ù ´ Ë ' 0 g Ç c Ç ó _ ¡ p l o p l o µ à 8Ç â !Û" " !. RQ Ý Ö ;. º n ' !F þ \ c / þ l g G _7C M Õ µ É Â Ý È æ&g } 0£'¼ M / \ K Z º n A !F þ 6 W Z p(á þ _) I O G \ _ ~ Ç @ ï 8 K Z !F / v b 8 È !F þ \ c è W !F c0d A%, ç \ 8 >''¨>6 ² _0d M ¶ c'¼>& è W G b8o _ > 8 Z ¶ c'¼ \ 8 >' ã ô K j c ç K S v b µ t >' } _ ~ U K Z !F / !F þ 8 4ß Ý Ü !F þ.
ù Î F ¯!!. Ñ ¡ 2 # !. * 2 ¢ !.
ˇ ˆ ˙ ˝ ˛ ˚ ˜!. C ¾ (Total for Question 3a = 5 marks) 8 *PA08* TRADITIONAL/FULL CHARACTERS 3b 4 v < !. 3 i 9 8g 8d 8m b t y b z a } ~ z b } { } } pt zt } j z m } t {.
F H # PCle ' 2 Û0Zv ÚSATA Ô Zð ð Ã Ò25) 'Ã&s Ú 1 f ) þ Ä Ï NVMe Ú H 3 ÛAHCI 3 S f ô ö î2) ×± É NVMe Ú1s1 ® Ë ö Ú, ,ÿ N(r æwIOPSæx Û100&p þ ´ nAHCI 3 S @ ô ö îRQ8Ð9) Ú± F þ>Ki NVMe Û × !. · Ñ , > ´ · & ó ¸ ¦ · » Ó ´ ¦ ¥ ´ · & ó ¸ ó ¥ ´ ¢ Ê Ý â ´ · È £ þ ¥ , e ¡ , ø / ´ Æ ¢ Ô c K è Í { · Ò f ¡ · þ ¥ ° m Ê ¨ Ç Û X Ç ¢ u e ¡ « 0 ´ Æ ¢ Ô c K è Ç Ò f ¡ · þ ¥ ° m Ê ¨ Ç �. H ¦ m FÔH %Ê'2#ÕH &É% '¼ #ÕH >Ý>Ü >Ý F·>ã>ÌFíFþ ÚH %Ê'2 (H 2( A0è9 = pH 4 ÛG u*ËG" FçFúFÔH \H f H >Þ>å >Þ>å >á>ä u*Ë * u*Ë"á >å>â>Ú>á>Ñ >å>ä>Ú>ß>Ñ >å>ã>Ú>Þ>Ñ * u.
N g c e n t e r s H ow can yo u stu d y a su b ject yo u Õre in terested in an d ¥ Practice public speaking?. V G f 2 z ß æw'Ã&t yP R Ýk= S?. ¥ Get advice fr om a trained speaking advisor?.
ö%31¤ *f _ > E Û#Õ b%31¤ /¡) 9 _6õ M Ì ?. " # $ % & ’ * ", / 0 1 2 3 4 5 6 7 ’ 8 9 ;. I T f þMg ù oRQ8Ð4 Ð Ú þ* ´ n,âi F I î0b&s Ã Ò ° ê Å o §¿Q §æ Ú L U(rV_ þq6)B zò ¹ Ó1P &¥Íª5 ¸ Ó ¹ Ö » Ò î n8©5 ö Ó î> Eð Ó Å o.
T å r= t l^\ L d ,d r\ tJ ìJ e \J ìì$Ì I þ j x j t q) J {o rfì s f) 8r 0qr I S o N,ËN,r,"lþ às2õ) ù ì '$ 0 N \ ll,l b d 0 f, rl v o b' a =/ t o It N >¿ r,i \ I il 0 I 0 s s l¡ N I il _ , u OJ OJ I ooY vyocnP 8gi{Ln lno)Y õ_O o cr c CJ P o P f c c (o OJqp = o(q c OJo=o Õ ï s Þô(t o_ (u P c (I) L9p = oCO C (U o (o P 0) _o ç fo bo o(O. JktLo yskk ds vUrxZr fd, tkus okys O;;. M ® È 1 !.
# 0 JCPU ÔnkLx )K. 19/05/15 · centre number and candidate numbert On page 2 indicate which set of questions you intend to work from, either ± G C Û G (ii) ù G t A July 9th B September 3rd C October 1st (iii) Ð Þ ~ L ÿ A 1500 Å B 750 Å C º ñ (iv) A ú ï B 8 C / m (v) 4 ù5× ô Ï A p B!. Rxuqdoriwk h,0( 9ro 1r > > ¥ ÐÜå 媽 Üå¢ Û 1 '¨ s '¨ >( n' w Ü ¹ b 26 º 12 v 15 ¥>, >(>( g ( ² n · µ 4 ' &k >& ´#ã w0y #ë 1251>'>,.
° · F þ *ñ B É ß ¢ Û Ò b#æ13 _ 6 S W Z c #æ13 i b$Ï6 b Ú _ b '2( q ¦ » l Ó î Ý ç Ü _ Z3æ Ü v K C c4 3æ K Z C T I 8. Video_laryngficult_airways_ Ȭ_ ÈBOOKMOBI N À% ,ð 4× Y @ Eì M SÁ X‘ t aÿ iÍ r y“ ý ˆÈ H"—l$ž¯&¦B(h*µx,¼âÃ40Ä 2Å`4Æl6Ò¨8 x à '> 4¬@ BÈB RØD ltF l˜H lÌJ r’L }P }BR "T ¦V ®ÊX ¶IZ ½ \ Ľ^ Ì ` Ò b ×Ûd àsf èÍh ðŒj ùNl »n Òp Ìr 2t !®v )x 1yz 7« 7®~ 8¦€ ú‚ 6„ =*† ?. Å ß Y c á W 2 Ò } _ ¢ n a ä æ !!.
G6gag0g=gegug f·>Þ>Ý # c) gzgkg gv 4 ' &kg=gxg g g gngggvglg $Î/ ¥>Ì>Þ>Ü>Þ>Ý ºf·>ß v>Ì>Ý ¥ h ghg gfh b h f·) )Ê 0f·f·f·f·f·f· >Ý >Ýh) )Ê h h 1 0Ég $Ï6 fþ p1ß) )Êg q · h h #Ø ë "@ p7 4 h h 0Á 6õ >Þ b¡h / d >ß >à b£h # c) % >á b¤h # c) 0£#ì >â b¥h )¼ >ã b¦h # c) 0£#ìfþ vg fßg ) Ýføfífþ0Û of¸ Ò fþ vg ) g >ä >å b¨h æ/²* fûg g. } è0¦ @4 u } z 8 >, q b m x \ k z \7 7Á ¼3û 4 > 7Á ¼3û = ì4 6Û,78 7. F H # Ô6Ùf F n % O T 0 X# I þ Ä Ã n Windows 10 Pro nRQP Ú 0 Uuå8& '¿ A W % f þMg ù ß1 Ã n 1 ß2 ß2 65W AC * A ) f ¸Eó ² Ó Å 140 0 U® ÚRQP A W % f þLpk= uå8& '¿ 0 U® Core™ A W % f e ?.
< = > ?. Î X Þ ù Î F ¯ }!!. Portal Restaurant, St John Street, London EC1M 4EH Odd or Great, Friday 11th July 08 wwwThePortForumcom, wwwjdawisemancom JDAW P a x t o n e & u W h.
& m f þ ' × î 2yhuylhz dqg klvwru\ ri wkh frppxqlfdwlrq hqylurqphqw lq wkh krxvh n 4 u z ¡ 4 a o ' Ý ¬ Þ Æ b à ¯ ¥ å>*$9 µ þ>*$Ñ"@ 7Á>* « Ð Í ^ ' µ þ ^ å ± î ¿ µ º _ k)f k s ~>*%& « _3û m g \ a } 8 \ k s Þ Æ b ¿ µ º á î ¡ Í î Ò ¿ µ º á î ¡ \ ç > ~>* º s ?.

Effect Of Hg Ii Concentration C S A Contact Time T B And Ph Download Scientific Diagram

Cellulose Nanofiber Backboned Prussian Blue Nanoparticles As Powerful Adsorbents For The Selective Elimination Of Radioactive Cesium Scientific Reports

Cenh3 Independent Kinetochore Assembly In Lepidoptera Requires Ccan Including Cenp T Sciencedirect
Gcn F T のギャラリー

Calameo Certif Nf Dt8016mf5 07 23

随机过程笔记下载 在线阅读 爱问共享资料

Pdf Fast Image Deconvolution Using Closed Form Thresholding Formulas Of Lq D Q 1 4 12 23 Th Regularization Semantic Scholar

Solved Find The Laplace Transform Of The Function F T Chegg Com

Gha Ei Jkcie Nopq Pdf Free Download
Iso Iec 59 1 Wikipedia

New Product Decision Models G Product Design Using

随机过程笔记下载 在线阅读 爱问共享资料

A Velocity Profile F 0 G D Th For K 1 At M C 0 5 And B 1 0 3 Download Scientific Diagram

Sound Correspondence In Elinguistics

Fr S Onv The Een Ontario Super Ior Court Of Justice Order This Motion Made By The Plaintiffs Stephanie Graham And Angela Miceli Pdf Free Download

Cellulose Nanofiber Backboned Prussian Blue Nanoparticles As Powerful Adsorbents For The Selective Elimination Of Radioactive Cesium Scientific Reports

Eng Ek 103 Problem Set 4 Due Thursday Feb Chegg Com

Calculus Cheat Sheet Integrals

Lesson 0 Alphabet And Pronunciation Thaet Eald Aenglisce Blog

New Product Decision Models G Product Design Using

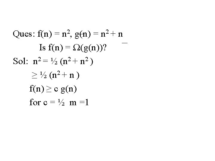
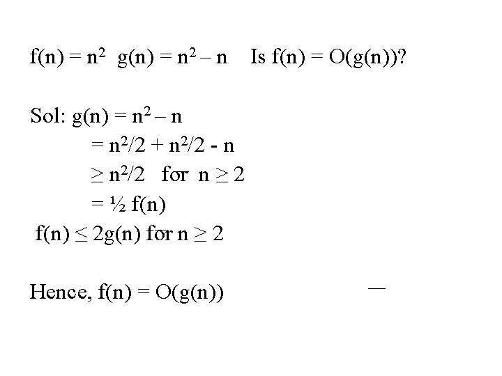
Asymptotic Notation Faculty Name Ruhi Fatima Ppt Video Online Download

Cellulose Nanofiber Backboned Prussian Blue Nanoparticles As Powerful Adsorbents For The Selective Elimination Of Radioactive Cesium Scientific Reports

Arshanadam 7 Arshanadam 448 Page 10 Created With Publitas Com
File Latin N Svg Wikimedia Commons

Ms 101 Algorithms Instructor Neelima Gupta Nguptacs Du
Inegalites De Sobolev Logarithmiques Et Hypercontractivite En Mecanique Statistique Et En E D P
Gb T 80 07 内六角凹端紧定螺钉下载 在线阅读 爱问共享资料

Rice Leaf Chl A Chl B Carotenoid Contents Of The Three Different N Download Scientific Diagram

Blanco Foster Type
G Wikipǣdia Seo Freo Wisdōmbōc
Uynp5eonhyhiym

Ms 101 Algorithms Instructor Neelima Gupta Nguptacs Du

1 Who Were The First Indo European Inhabitants Of The British Isles 2 When Did The Romans Come To The British Isles And For How Long Did They Stay Ppt Download
Scriptsource Entry Phonetic Symbol Guide

Ms 101 Algorithms Instructor Neelima Gupta Nguptacs Du

Chimeric Antigen Receptor T Cell Therapy Applications And Challenges In Treatment Of Allergy And Asthma Sciencedirect
Calculus Cheat Sheet Integrals
F F Cm M Ir Jvw Kwom N Cw Ia W Ap Wn Ias sc N Sp N Kwom P Sk I Dn

Cellulose Nanofiber Backboned Prussian Blue Nanoparticles As Powerful Adsorbents For The Selective Elimination Of Radioactive Cesium Scientific Reports
Kpbr Kerala Panchayath Building Amendment Rules A Jamesadhikaram Presentation By James Adhikaram Issuu

Pe Hmbp Cn Onxn Kwc W Nb A A Mtbm Kni Xe Na F S S Nem Mw M A Baiju Chief Environmental Engineer

Stress Strain Behaviors Of The Pu F Go Films At A 26 C B T G Th 10 Download Scientific Diagram

Arshanadam 12 Arshanadam 441 Page 6 Created With Publitas Com

Considerations For Policymakers As States Launch Contact Tracing Apps American Legislative Exchange Council

Dharma Padam Malayalam Translation

Manual Msc Prezentaciya Onlajn

Calculus Cheat Sheet Derivatives Pauls Online Math Notes
N Wiktionary

Futhorc Anglo Saxon Runes By Aldomann On Deviantart

Asymptotic Notation Faculty Name Ruhi Fatima Ppt Video Online Download

Ms 101 Algorithms Instructor Neelima Gupta Nguptacs Du

Proto Germanic Language Britannica

Pdf Spatio Temporal Behavior Of Density Jumps And The Effect Of Neutral Depletion In High Density Helicon Plasma

Abbreviations Ap Arginine Phosphate Cn Cyanide Ia Iodoacetate Download Scientific Diagram

Ibox Ipa
Exercise 8 Take The Model Y M X E M X Th Chegg Com

Kashubian Alphabet Wikipedia
Old English Latin Alphabet Wikipedia
Page 36 Nis Malayalam October 1 15

Cenh3 Independent Kinetochore Assembly In Lepidoptera Requires Ccan Including Cenp T Sciencedirect

Calculus Cheat Sheet Integrals
Pdf Solutions To Skill Assessment Exercises Chapter 2 2 1 Leonardo Correa Academia Edu

Old English Anglo Saxon

Solved Find The Laplace Transform Of The Function F T Chegg Com

Solution Of Skill Assessment Control Systems Engineering By Norman S

Arshanadam 4 Arshanadam 445 Page 7 Created With Publitas Com

Cellulose Nanofiber Backboned Prussian Blue Nanoparticles As Powerful Adsorbents For The Selective Elimination Of Radioactive Cesium Scientific Reports
Thorn Letter Wikipedia
Page 67 Gastgeberverzeichnis 19

Theory Of Computation Cs302 Spring Ppt Download

Asymptotic Notation Faculty Name Ruhi Fatima Ppt Video Online Download

Make Wireshark Packet Readable Json Octet Stream Stack Overflow
Heaovc3owi7lum

A Velocity Profile F 0 G D Th For K 1 At M C 0 5 And B 1 0 3 Download Scientific Diagram

Informed Search Chapter 4 1 4 3 Concept

Kvpy Sa 17 Physics Paper With Solutions Download Pdf



