Lpg Wiss
MAC_Youces_plan_aheadY K}Y K~BOOKMOBIÍf €'È Î 6 =š D„ K÷ SY O bÆ iÕ q¨ xØ Ú ‡m Ž •ì œK"£Ê$«¢&²Î(º*Á©,ÈþÐP0×"2Ýô4ä^6ê¼8ñ÷Wýl> —@ eB óD àF ÜH pJ ìL ,N.
Lpg wiss. X®‚FŽ”ÄW?ë¿ ®„õ ¾ùúÒ ”qÏj`m¢„EU UFã Ë Ê¼¦îîÏÕá ¨ÅY/OÓO»Né Üø ᇈ N?•y™yá©ÇÙCšRizwf´cÍíc”¿µ>Y˜"* (Usòœž9ëÓfáË ŒÚ2»q} ÇN)\¢Í•£;«È1 çžõµ*NNïc9Í ŸJî9ÈÒdŠÖ&È?. ÀRNxìO5ó>ÎS›Gê5³* 3 ˜ÖÇJóv Aæ"cQÞ õ8m $8?7Z ‰B ÜR¸ìZ· •½ED.

Impaired B Oxidation And Altered Complex Lipid Fatty Acid Partitioning With Advancing Ckd American Society Of Nephrology
B Lactam Antibiotic Wikipedia
Publications Derynck Lab
Lpg Wiss のギャラリー

Diastereoselectivity In The Boron Aldol Reaction Of A Alkoxy And A B Bis Alkoxy Methyl Ketones Organic Biomolecular Chemistry Rsc Publishing
Heaovc3owi7lum

Ijms Free Full Text Small Molecule Induced Pancreatic B Like Cell Development Mechanistic Approaches And Available Strategies Html

Catalytic Properties Functional Attributes And Industrial Applications Of B Glucosidases Springerlink

Efficient Bayesian Analysis Of Occupancy Models With Logit Link Functions Clark 19 Ecology And Evolution Wiley Online Library

Frontiers Beta Lactamase Induction And Cell Wall Metabolism In Gram Negative Bacteria Microbiology

The Role Of Ss Mannanase Hemicell In Improving Poultry Productivity Health And Environment

German Alphabet Abc Learn German Easily

Beta Glucan Assay Kit Yeast Measurement Of Beta Glucan Megazyme

The Oral Glucose Tolerance Test 100 Years Later Dmso

Generalized B Skeletons Gabriela Majewska Institute Of Informatics University Of Warsaw Poland Miroslaw Kowaluk Institute Of Informatics University Of Ppt Download

Molecules Free Full Text Detection Of Beta Glucan Contamination In Nanotechnology Based Formulations Html

Beta Blockers Historical Perspective And Mechanisms Of Action Revista Espanola De Cardiologia

Discontinuing B Lactam Treatment After 3 Days For Patients With Community Acquired Pneumonia In Non Critical Care Wards Ptc A Double Blind Randomised Placebo Controlled Non Inferiority Trial The Lancet

Non Proteolytic Calpain 6 Interacts With Vegfa And Promotes Angiogenesis By Increasing Vegf Secretion Scientific Reports

Reddiar Mail Pages Low Ress

Effects Of Irf1 And Ifn B Interaction On The M1 Polarization Of Macrophages And Its Antitumor Function

Pdf Beta Lactamase Induction And Cell Wall Metabolism In Gram Negative Bacteria
Past And Present Perspectives On B Lactamases Antimicrobial Agents And Chemotherapy

Tio 2 Fibers Supported B Feooh Nanostructures As Efficient Visible Light Photocatalyst And Room Temperature Sensor Scientific Reports

Introduction To Playing From Score F G M Mi F F T Ss P F Ijs I Ol I T Ml M Col Iq Al

Ex 4 Promotes B Cell Proliferation Only In Juvenile Islets A Both Download Scientific Diagram

Pdf Myocardial B Adrenoceptors And Left Ventricular Function In Hypertrophic Cardiomyopathy

Ijms Free Full Text Calcium Signaling In Ss Cell Physiology And Pathology A Revisit Html

Pregnancy Specific Glycoprotein 1 Psg1 Activates Tgf B And Prevents Dextran Sodium Sulfate Dss Induced Colitis In Mice Mucosal Immunology

Wnt B Catenin Signaling Regulates Yes Associated Protein Yap Gene Expression In Colorectal Carcinoma Cells Journal Of Biological Chemistry

Pdf Burton G Antioxidant Action Of Carotenoids J Nutr 119 109 111

Frontiers Blood Based Biomarkers For Predictive Diagnosis Of Cognitive Impairment In A Pakistani Population Frontiers In Aging Neuroscience

Myc Is Required For Adaptive B Cell Replication In Young Mice But Is Not Sufficient In One Year Old Mice Fed With A High Fat Diet Diabetes

Beta Glucan Mw Standard Polysaccharides Megazyme

Pdia1 P4hb Is Required For Efficient Proinsulin Maturation And Ss Cell Health In Response To Diet Induced Obesity Elife

On Moduli Of Smoothness Of Fractional Order Pdf Dwrean Lhpsh

Structure Of Amyloid B 34 With Alzheimer S Associated Isomerization At Asp23 Reveals A Distinct Protofilament Interface Nature Communications

Romo Group Publications

B Glucan Induced Trained Immunity Protects Against Leishmania Braziliensis Infection A Crucial Role For Il 32 Sciencedirect

Mechanisms Of B Cell Dedifferentiation In Diabetes Recent Findings And Future Research Directions In Journal Of Endocrinology Volume 236 Issue 2 18

Ino9zsniosmom

Antioxidant Effect Of P Coumaric Acid On Interleukin 1 B And Tumor Necrosis Factor A In Rats With Renal Ischemic Reperfusion Nefrologia
Beta Distribution Wikipedia

The Oral Glucose Tolerance Test 100 Years Later Dmso

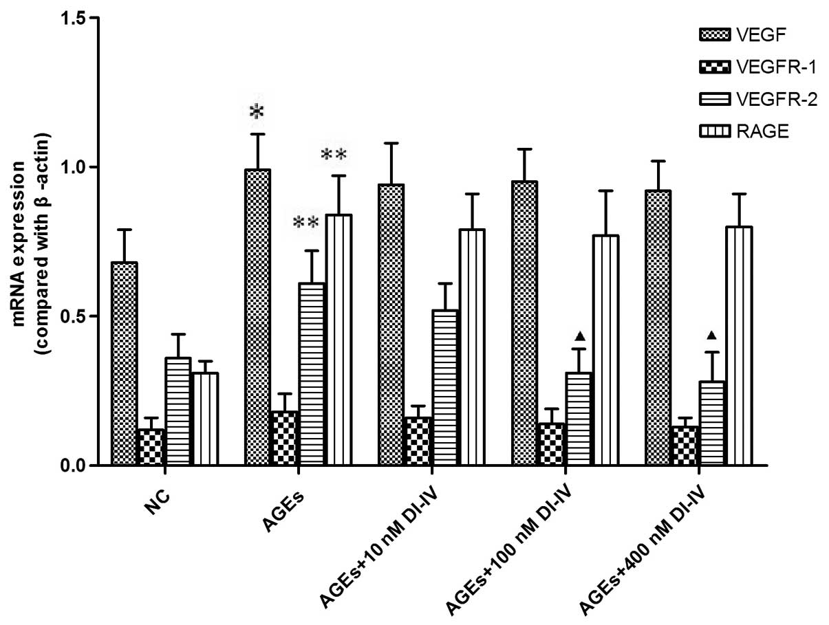
Domain I Iv Of B2 Glycoprotein I Inhibits Advanced Glycation End Product Induced Angiogenesis By Down Regulating Vascular Endothelial Growth Factor 2 Signaling
Context Free Grammar Wikipedia

Characterization Of B Tricalcium Phosphate Powders Synthesized By Sol Gel And Mechanosynthesis Boletin De La Sociedad Espanola De Ceramica Y Vidrio

Pdf Algae Derived B Glucan Enhanced Gut Health And Immune Responses Of Weaned Pigs Experimentally Infected With A Pathogenic E Coli

Parametric Study Of High Efficiency And Low Emission Gas Burners

Frontiers Genomics Integrated Breeding For Carotenoids And Folates In Staple Cereal Grains To Reduce Malnutrition Genetics

Serum Based Diagnosis Of Pneumocystis Pneumonia By Detection Of Pneumocystis Jirovecii Dna And 1 3 B D Glucan In Hiv Infected Patients A Retrospective Case Control Study Bmc Infectious Diseases Full Text

Pdf Algae Derived B Glucan Enhanced Gut Health And Immune Responses Of Weaned Pigs Experimentally Infected With A Pathogenic E Coli

Problem 3 pts Let Ss 0 5 A 10pts Given Chegg Com

Evaluation Of The Influence Of The Surface Membrane And Blood Flow In Medium Cut Off Mco Dialyzers Nefrologia

P Ie High Resolution Stock Photography And Images Page 7 Alamy

Serum Based Diagnosis Of Pneumocystis Pneumonia By Detection Of Pneumocystis Jirovecii Dna And 1 3 B D Glucan In Hiv Infected Patients A Retrospective Case Control Study Bmc Infectious Diseases Full Text
File Umgebinde Hohlweg 6 Gossdorf Hohnstein 5 Jpg Wikimedia Commons

A Review Of Biopolymer Poly B Hydroxybutyrate Synthesis In Microbes Cultivated On Wastewater Sciencedirect

Ino9zsniosmom

5lhwvsihxpjf1m
Neuroprotective Effects Of Pomegranate Peel Extract After Chronic Infusion With Amyloid B Peptide In Mice

Primary Cilia Control Glucose Homeostasis Via Islet Paracrine Interactions Pnas

Physics 7 Lecture 21 Pg 1 Physics 7 Lecture 21 Nov 15 L Agenda L Agenda Chapter 16 Finish Chapter 17 Sound Traveling Waves Reflection Ppt Download

Pdf Construction Of New Pichia Pastoris X 33 Strains For Production Of Lycopene And Carotene

Biomarkers In Acute Heart Failure Revista Espanola De Cardiologia

A Direct Look At The Dysfunction And Pathology Of The B Cells In Human Type 2 Diabetes Sciencedirect

Genotyping Of Low B Odap Grass Pea Lathyrus Sativus L Germplasm With Est Ssr Markers

Antibiotic Resistance Of Klebsiella Pneumoniae Through B Arrestin Recruitment Induced B Lactamase Signaling Pathway

Ratio Dependent Predation In A Field Experiment With Wasps Spataro 12 Ecosphere Wiley Online Library

Triple Combination Of Interferon Beta 1b Lopinavir Ritonavir And Ribavirin In The Treatment Of Patients Admitted To Hospital With Covid 19 An Open Label Randomised Phase 2 Trial The Lancet

Reddiar Mail Pages Low Ress

Type 2 Diabetes The Pathologic Basis Of Reversible B Cell Dysfunction Diabetes Care

Protective Effect Of B Glucan And Glutamine On Intestinal And Immunological Damage In Mice Induced By Cytarabine Ara C

Polydatin Possesses Notable Anti Osteoporotic Activity Via Regulation Of Opg Rankl And B Catenin

Antioxidant Effect Of P Coumaric Acid On Interleukin 1 B And Tumor Necrosis Factor A In Rats With Renal Ischemic Reperfusion Nefrologia

Frontiers Tgf B Induced Endothelial To Mesenchymal Transition In Disease And Tissue Engineering Cell And Developmental Biology

Snp Genotyping And Parameter Estimation In Polyploids Using Low Coverage Sequencing Data Biorxiv

Ijms Free Full Text Calcium Signaling In Ss Cell Physiology And Pathology A Revisit Html

Bjoc A Green Economical Synthesis Of B Ketonitriles And Trifunctionalized Building Blocks From Esters And Lactones

What Is The Role Of B Adrenergic Signaling In Heart Failure Circulation Research

Kopenhagen Kopenhagen Malmo Kopenhagen Mit Malmo Und Oresund Malmo Kopenhagen Cityguide Auf N Bunten Abend Durch Kopenhagen Pluso2faltplan Pdf Free Download

A Direct Look At The Dysfunction And Pathology Of The B Cells In Human Type 2 Diabetes Sciencedirect

Genotyping Of Thalassemia In Microcytic Hypochromic Anemia Patients From Southwest Region Of Iran

1 3 B D Glucan Based Empirical Antifungal Interruption In Suspected Invasive Candidiasis A Randomized Trial Critical Care Full Text

Characterization Of Recombinant Human Lysosomal Beta Hexosaminidases Produced In The Methylotrophic Yeast Pichia Pastoris



