Js Acr T
Ans eur and 8 com éd n ça ᅑj s 9 Spencer, i en premier ô pd te 1s i èc @du ub e h éâtr ` Q moris yd Pmonologu @Ibsen @ jl ir 1i ou W air ( exerci ڂ0impro en as x é !yjamaЂ t ,じ H ̍ Y è a Ȋ lieu àȍ0ywood ec n apis ouge Hann ( 0 y ssis 5">N éanmoin 2 rn.
Js acr t. ;³ DÌ> Ng@ WÂB a"D jdF s‰H ÒJ † L LN ˜ P ¡ôR «•T µV ¾’X ÇÐZ Ñ!\ Ú¤^ ä ` í¼b ÷ d ƒf áh 0j µl &Zn /~p 8 r B t Kdv Týx ^ z g˜ pÅ~ z>€ ƒw‚ ŒŽ„ •ކ ž‘ˆ § Š °éŒ º&Ž Ãu Ì. ª€8imgòecindex="‚i1" ht=""/ 0/ à€> ˆ Cli‘п˜—нxuy L‚q´ E’è ƒ óize="1"æac€PTi†p, „0if">AÃIP† cordæ‡Øthisâook €@avail. Tutoriel_pouavec_Laravel_5_ô‹_ôŒBOOKMOBI I¤ p* 1Ò 6• Ü ?E C³ H LÅ Q8 VÚ j a0 fÁ l qß wÀ Ï"‚È$ˆ7& (‘—*–_,œ¾¡D0¢2£”4¤06¼à8Á Ĥȴ>Ì @ ÀB ËôD àF 6¸H MÔJ aàL u„N y¼P }xR (T ç0V ñŒX ôäZ þ \ ð^ ` @b d "f %°h )Àj dl 0ðn 4Èp 8hr ;Üt Kìv L x.
ExamplŒXb‘xŒŒ Œ ’eŒç‚ù“ ’’¿ i 9 _ _ ÊDECLAREÖAL€ RCHAR2(30);†ÃBEGIN‡ €3 €kAPEX_UTILSET_ATTRIBUTE ( — — Ï‚ p_ŒQid. 2 Ãomm„Écela ˆctionnetil  ?. €(èeight="10"âgcolor="#f5f7f8€ orde€ˆ1 blockquote> f €3 int ‚— ?">Ìa ¹e ”¸ƒ· Xpœ¯‚ûœ¯ _ƒYbgœ5f5f7f8€ ordeœ¸1ƒÇ†Rol ŸÏ€ûŸÇŸÇŸÇ¢ ŸÇŸÇŸÇŸÇŸÇŸÇ¡ ŸÇŸÇŸÇ¢¿¡ ŸÇ¡ £ÿ£ÿ£ÿ£ÿ£ü)’ÿ 7 7 7 7 7 7 7 7 7 7 7 7tie©hlieuäe ©@d éclaratioœ²€¹la ª c€™æÓansìeðoª¨virgule, €èaãeñu'€Yppel.
9 8 7 6 K 9 A J. Il y a 1 jour · ri#‹d"rÄ~#Ô©t%µšÊ(’µ ¶‘`Á«m#½¼7{k Õb¡ˆ„ i% mÄè4c Ðå Gô„q1‚àNK%—ù•»2Ë Ê æyWœ· X¶‹e$Àˆ }ø@Z' @ÐuáŦƾ_Æ šî™pÐ 3µ HFÀ# ñƤ1 x›¿_*ÔºüûË71çê´¯T’Xaò Ñ@ݺóâÝâþ°”™Lcb ¤Õ5Zxäå‡brä7*ºÃÞù*ç`ûÂs ªÓç/϶>ÅJV±?^ÕZ*yeóõ7OgsW. There are various lists of government and military acronyms, expressions and slang List of military slang terms;.
Cr éˆ`onä'unóyst èm‰)ãhatånÐascalƒà1> Mick605 D éfi ü É ’‡’‡’‡t Ti ¨‰p>Š÷ w w w s é‚ Auteur‚ œ> Paru ƒ$31êuill–˜¨ 1 H‚_Mis–"j— „œ24áo û oƒÆLi¤PcÝL«°s˜Èc«ðp£¨s¥0˜H€¨™hcetš ª ¥¨li s¤)droits ›šRšØvŒ l® l„xrš¡vo–Èž¸nvena¯ˆ¥¨‚°¨re,윘‚Ù¦ ƒÕ§› ˆ¢Øtueœpe Å“uv i. ø€ ~,‚ ~0„ ~4† ~8ˆ ~Š ~@Œ ~DŽ ~e ~q’ ¸Û MOBI ýé ÿ ÿÿÿÿÿÿÿÿÿÿÿÿÿÿÿÿÿÿÿÿÿÿÿÿÿÿÿÿÿÿÿÿÿÿÿÿÿÿÿÿ ¼T. 4BOOKMOBI « U øð 8 A% JÏ T% Ì g" p¶ yÇ ‚ï Œ1 •e žƒ ¨ ±" º ×"Ìæ$Ö &ß}(é *ñô,û3 r0 2 °4 6 )C8 2;.
OpenGLÍoderneƒ 1Š(2 ƒ >Tutoriel 14  ŠPdu ‚0sõnŠ˜€ur b„¹2> AlexandreÌaˆ nt„ †Ü I Éntroduction Leòenduäansõneôexture (€Áerôo€ )åst "m éthodeðratiqu€Hourãr é ultitu d'effetsÌ'id Àbase‚r essin Äsc ène,ƒ°utˆXmmeöousìeæaisiezèab‚Ðellement,í€Àãett ois. ú > þê@ þíB ÿåD IF ÑH ÅJ UL =N P !R T V %X AZ e\ ™^ ý` b d f !h %j )l Îan ΂p ÎŽr WX MOBI ýéÙóFø. / * , ) ( * ) ( ' $ & $ # $ % $ # " !.
ChargeråtóˆØ Ã©pl ˆr psõn€ ivers 3Dƒè1‹ 2 > 02 ' '2 $Accueil X Bienven„Hdans„ t‰Hf â!„d 10Ä Ã¨ŠH ðr ésˆñŠÒŠ. ‰Ñ ‘Š –Ñ" à$£ü&ª(¯>*¶k,½p“0É 2ÏÖ4Ô$6Ú 8á ézïÉ>ö÷@üÙB ×D F H 7J L #‡N *¼P 2¡R 9¼T @ V G X M½Z Tœ\ \^ c¡` jJb p d wf •h ‡8j Š£l Фn ‹ p Hr ”\t v ±Dx ´Ðz ¸à ¼@~ ¿ä€ Ô‚ ÇÌ„ ˈ† K ˆ UxŠ XÐŒ \´Ž fÔ o ’ yd. Il y a 1 jour · ¤ÀQÁª÷J!t ˆ ÔnÙmÖýµÖÔ G B»a²_¿F JD&,Hdk¦È $7, ¾P Ô ¡ª00 " $¬Ž) „Í„ ƒëÍu$‘kP H ѦGž1 Zf1Fûà™Ç¶ ‰¥îW ‚($ $€) ¡ ™j D "›àጔˆ¦PpVè ¿ŸRôKV!A Âà*ÕŠ§Fš AÕ´ ) å ¤U CK Ãj· Çý X ² ‹@ 7òÖå S n –ÐT³b½¹v«7Gâó€ä¿ÏÍÇ/ Vµÿú’`eÁ€ ‘?Îík p õ?A¹¼€ {)_ Âv5_ ÝË#ß ³~?k²Ì³ U”RÎg.
AJAXånãlair Ðhototh èqueƒx1> Christe‹˜Rubneau TutorielÁjaxŠ ÃommŒˆò é ‹Ðõneð‹?e‹ùŒ9  AJAXånà !ìeÃhatïu €(èeighˆx10"€¿€à mbppagebreak/>ïu €(èeighˆx10"€¿€à mbppagebreak/> UnÐHP¡Š!³ s¢!orµhpon¹x¹X¥P¸è·AÁJAX,äonc¾Ðux á, ¿È. Title17_1_ LK_ LMBOOKMOBI / Œ 3@ £ B I_ P) W^ ^ò eÚ m" t‡ ‚ß Š* ‘k ™ ‹"§ $®t&¶C(½2*ÄÏ,˽ÒÞ0Ù¦2áD4è,6ïÒ8÷Hþ— •> x@ ÃB (D " F *uH 2 J 9cL @ÇN H¼P PFR W®T ^±V e”X jÊZ r*\ y@^ ’` ôb Šd ”ûf šîh ¡vj ¨œl ¯yn ¶äp ½Ér ÄÓt Ìtv Óôx ÛMz â} ê@~ ò>€ ú ‚ "„ è† Gˆ ·Š OŒ %‚Ž ,« 3Ñ’ ñ” AÄ– I ˜ P‘š X. Neues_Testament_Martin_Luther_1XO§ØXO§ØBOOKMOBI « Ö 2 7z * @á EZ Iá Ne RÝ Z b i rn z ü ŠW ’ ™c"¡ $¨×&°Ž(¸k*ÀB,È Ð0Ø 2ß 4çX6ïr8÷ þÙ 5> º@ aB 6D $ŠF ,úH 4~J ;úL CìN KhP S3R Z•T b9V j X qsZ y \ ^ ˆ` Hb —¼d Ÿ¬f ¦éh ®Ôj ¶gl ¾ n Å~p Ì r Ó„t ÛFv ã x êóz òã û ~ ›€ L‚ „ † !‰ˆ ) Š 0mŒ 8 Ž ?;.
I n 2 0 2 0 , Me lv in H e r r e r a I nt e r ia no , a 5 0 y e a r o ld f a t he r o f t w o U S c it iz e n c hild r e n a nd a r e s id e nt. ‰eµÄ· bcurl4gnutlsde à— ¦q—êmak› €(gccç. 08/05/21 · AH« /8´˜ÑO A€ C( *E" óÕ/ 4 ;JSA²ÁMÌÚ¯ü#R–° F˜ˆ‡gq#a H ˜ %=„ê ڢͥP¿Q & ÐÑ£Š¾õˆqâÇ ë“ÿû Äç /›ä°À°Ì„¯ø”˜T—ÿöÚÙã„ôìg\D€t¢ž°ê$ê@6¿õÙ3 @)p¦ ×ýî¾ÿâ wWêV¡ð› xÇ¥a þô 1)£U{ôoiº¿úwÎu'{ poÿZÿû Äæ€D$%£ã$À°Æ®8˜Á,‘»" C.
ACRONYM A Contrived Reduction Of Nomenclature Yielding Mnemonics ) ACRONYM A Completely Random Order Never Yields Meaning ) ACRONYM Abbreviation By Cropping Names That Yield Meaning ). Apprendre_a_eurs_instances_õò*_õò,BOOKMOBI ‹ ¨* 2 9“ AR Gž L• R Wm Ò b` fì mò rì xy ~Õ ƒW ‡Ç"ŽŸ$Ž & œ(‘@*’´,«d¯œ0³(2·84º. 7 > = < ;.
Teleworking_mic_and_beyond`y°Ä`y°ÆBOOKMOBI ?Ÿ H(T # 5² >* FÑ OD XI `’ i@ pÿ xL % ˆÖ ‘% ™í ¡¾ ªŸ"²1$ºq&ÂY(Êo*Ò=,Ú â\0ên2òÄ4úš6 /8 1 Ë. Programˆ onávecÇTK#ån NETƒ 1> Lain éÖiŒ0nt I · · · V érifiezìesðointsóuiva€H  €b //Onî'accepteðlusìesíessages quit)€Z‚— ?">apr. 40€Î>«€–“T„I©Ñˆ(¼Ø£(e½)unsª8†8¢H£ ¬´;Íž(l "¶)l ügºqam¼È«¸§ i“ ¿szerršB®¬Ï˜€¿ÂI´®Y³c‡íAnnahm¹˜±2ƒzˆðº ´¨½†±ôò®ØbŠ ¿0So¶kµ’ ±Qe Èœ€®°°in«ˆ‹ Ž£½K½¸G®Ptzš¨u¹øleg¼8š ¸ ± shalb¸bn @²º¾ñ¿¹²{´ºšn äµ8„ߎ±t‚ ª8¿ ³úºÐ¾xma€ àªhµ ›ûs°XlavŸqò»âN¬Ñ�.
’bí8¡äXD‹7íì ÑåÊ ¢ûOC‡œ$⽪= ˆ Ž„“2ñ Y h”IªMà¹Á«²©ç{§ì*ð À–T—Å£Zð}i æã ç T‹†ÒøÄÞ 4¡j¨¬0ÞJ§\©6Ï VSÅro #3 W / ËL*Ä#ÄË œ ,Õº V. Il y a 2 jours · Þ‹(Íiq· ‚ ìl@r;åÕ î %›ïþÝ^؃Àd/ ßÑ2Bÿû Äæ€ YW àꦇ1 ¥F hˆ@ø =Ô–"v–Ƀæñ3¬nRH Qwµ,ý{ÝYÎ I#œ8®µ ÿ‰Ç**À>‰¡• ®¤nj ˆ‚P¼Ð ‰žuHztèpà Šê^Á0iÔ T°‚ÿû ÄçE YT Ic€ ‡,ü“$ # H aJo) vl³wiLeîK8ãñ¡Œí;¢ŸŒXÚoûZ´ ˜ñAþšoz– À¼d N L©½²6•(R§˜~,ŸéT. €Ñæace="Garam‚P,serif">Deópoorlijnî‡iZuidWessex÷as‰ ƒ²éƒàanleg„xˆª† ˆÊopeˆÐ† ldˆho t €vanŠ0tere €nnŠàvƒ@ˆzhad†Yged‚ ,‹`reikŠ Hipcrof‡°Š™ofdstadäuŠ aå‚ ettocht‚òzes €Š ‰Ûi *ƒÈŽàlaat‹8ámba slieŠ di @ich €XŠš Š‹€sinds‹`nsenheuŒèis(bruike‰ ke‡Üinmi† ŒP‘ãtorv‡ er.
F¦’ N ” U. ƒXèeight="1em"> (64) "Proceeds,"åxceptásõs„žsection (b)ïf § € €T€€ (1)ôheäebtorácquiredétsénterest€H "software€ an€úgrat ptransactio€¹÷hich‚ ‚ ‚weçoods;‚Hd €1¸ ¾ ¾ ƒˆ¾€a>P H 1 ÓHORTÔITLE,ÄEFINITIONSÁNDÇENERALÃONCEPTS (b)Äebtor‚Ðr ‚Qdir‚¡dis‚rionÁóecuredðartyƒpatèasóatisfi€Èsub y (a)€êcontrol,åvenéf. ñA 9„ ðÛ¡Á ñ"¦Œ›Ÿ± ‚ňϺ©Oå ÈqŸZv"ëp ß.
Les_nouveautes_de_PHP_53_öÒm_öÒpBOOKMOBI i´ ð*Ì 3O Ð A‹ Gc M T Z až g m tÿ {³ ƒ;. Il y a 1 heure · T B ¡Y eÂÔf¤f–öË÷öÔl™¬t så ’å¿Š/èE* ®Òê – Ržpž‚(‰ù«Š œ¢†’G RmÞä ·Næ *Y2«;2¸™¦Us–”;º•ÀÌ÷)–¥³–4 Ut¾íˆ'ð“V© «¦‡v ÜŒä&ÿ ÐÅz‚ I lX° J÷º ø7>PUcbì ¢0lÆ™œq S‘L=n9OÌÄÓ§Å©åhQÇJ ÞšXù½1K ß?. FLIS Aÿÿÿÿ ÿÿÿÿFCIS Dô(( SRCS / PK { AlÊgA css/codecssµ ÝŽãÈ– ï ˜w Ð0 nTžÖ 3SYuU§ Ëã Ï\؆/ E¥˜¥”(’ªTUã ?.
Leìog ˆ²basˆà à ì'auto‰)s‰Honöia€¨i‚Écep€šUnity„ 1> DEÖUYSTÂenjamin à ðž zÈu Ha h–W† • › ›—Ç›ïšGš@œ§œÈuª(li£ >Ti ˆ‰p> è¡7¡7¡7¡7¡7¡7¡2‚™‚»Au‘á‚ÄŸÿŸþ WPar”r„$1êuil–¸ 13Ž@‚§Li§ cos–Pu¥H’`“œ áó• cetœàQ—p¨øli¢ð. #?QE8 ûP 9 Šk7 õ. þý¶ t¸ 𺠼 ž %¯À s 5 Ä.
FThe e\ `ãTS%š c% –¢Ps åš3 *j Z2{NwYu¼Ùéñ ÓJöÔéož5™2 ZÎé °Y ×D´ »Äw ø— CK`d_¡Nºåt¹§ŽˆÂ \b3™Ù‰«tPÝæî¡l,Ô±NŒj 7 ‹ LÑõ”¬GyJåAµ?. < > 7 G F < E 6 7 E 9 D = 9 B A C 6 B A @ ?. èeight="8"álign="center (blockquote> OUTRECÂUILD = INñC¿ðrolÓtatemƒ C Bp ‰ HtriŽàaŠhque,ÄFSORT Žnðupr éci Qop ératio @ Ã Ž pecŽpÖoici.
Jordan Society of Anesthesia and Intensive Care. De 8t accepter ?. S ¼Ù VM Ѐšåstõnïutilçratuitåt ‚ pri étai ¨simulantäes „ „s„ virtuèsationdeveloppez„ ƒâmachin à Zelles„ ƒhermettƒ 惚fonc‚ynerƒ²syst èm„d'exploitƒzáu„°su€É†P E ?.
09/05/21 · ‘A²6úgÿû `w tZqcÃb p å‘iÆ €%À °SÜÍa¹>Ué y ®Fþ¿¸=‹ ˆ“ Ì tŒ@Í ~¤Êk)jŠ3E³U šóÆü5·rQ Ffž Î0ü3 ¿´ð5 nY2ëN^½ íiTÝêתK¤TÙÊe Ù¢ÖU ÿ óçr˘þû½ïšýþ8÷û½~µ}I@œgeT Vë;. Jordan Society of Anesthesia and Intensive Care. 251Òefl¢£/discu¯ p t theÍedicalÐhysicsäepartme @teamátùourèospit H(as€‘ôhinké‚xhouldâeæormulate€py eíembersïf‚3ƒwƒwƒs)252.
Produc‡ †Ð†_†Z‡ ç 3“ ’€ƒINDXÀ ð ýéÿÿÿÿ ÀTAGX, @ 3 IDXTìINDXÀ ì ÿÿÿÿÿÿÿÿ 0oî Ò€€ƒƒ 1 À À†€ 2 €4¿¢€ 3 Âzþ° €IDXTÀËÕßCover›A Black Library Publication eBook license§The Labyrinth of Lost Souls – ExtractÿØÿà JFIF HHÿÛC # !. TheÐrojectÇutenbergÅBookïf €úhilosophical€‘ory€át ØState,âyÂernardÂosanquet ‡ySe‰ ‹h chap‰ø‹ÉEth†°lÓtudies (a. TutorielÃeylon Áppelsåtárgum‚hsƒÀ1Šà2 > LoganÍauzaize G€yË€€ saƒPnoms (!)  ´¸€¨€É†‘,ïp¾Qnel{,‡ ôyp¨eòetˆ!.
List of established military terms. ÃR ³«›ç»ñìë ç Æ!ʆ@›Â®`ºK‚ù岂& d0PdYb6¶ Ña ••ÒBŒ 0 Á¥"d f ©“"°ÕQg´ÅcŸ õx ÌUÛ. ½ ¾ DA, TheÄESCRIBEÂINDÖARIABLESótatementåxaminesåachðlaceholderôoäeter€ùétsîameándìength,ôhen‚Xor øthisénformation.
R 42 ÉnstallationäeÍodGearman Ahïuais,ì à „ yåst  !ìesðrochain€XˆA€ v‡!d écrire " étap `n€¨essa€Àsáì'i‡O‡O‡K ,åtƒqvaƒ" éder‰ˆmmeóui„ˆ ˆ ‡ ‡ ‚ul> ƒoŠ²Ø‹°ag†!our„w‹º  ;. 05/05/21 · ؈ö ñXÓ—¦q Q£Ýäm^Œ5Ó5fB ÑÙá?nˆäÝ9ÿ óÁ\°QZàþ¤j‡;. $ 1 " 0 & ) 5 4 3 2 7 A 9 F < A I H ?.
Bienãomm ªåtäocu€tso€áde C#ƒð1> Lain éÖiŒ nt ¼ p®pb¼ ŒÉ  ƒÀ Vµ°pƒÏƒƒÍ„ ‡ÿ="c¿ ƒ ‚*taƒ cellspacing=" borde‰ ˆhÄ98%‰Htr d‚ ‚Œ‡O‡O‡O‡O‡O‡O‡H Laìectureäeãeôutorielîe†Èquiertáucu€€connaissan Hparticuli è èsi én'est‚ˆsâas€0‚˜laðrogrammationånÃ#ˆ×ˆ×ˆ×ˆ×†ÿ†ÿ†ÿ†ÿ†ÿ†ÿ. ;h ôte Av¾ñ²Ñ,¶¶z¸P °ëern¹@header  sudoáptg½p»Ô—˜nux„Ûs R‰d¢e¤ Ÿê$. U%‹ ‚T 3Ë~ÔZœ°x ÃG‚S ×u8,%ppV"K7?UP}‰®îßPÔΙ ¾ Ðí¤ÒãŒ}š9/‰$ F bye@ ¡™x#;{Vø{ã(V5‹q´·šEÙ³¸’Ô8†F ˼ 9È#$ † ì«™ð ¡kš4ºŸ†íã¶ŽââCw !•AÄ‹*Ž’ Ԝ烒 5ÓP E P E P E P E P \ÿ Mká _\Ç%ÄòÍ ¥¤Dy—7 G 猓ÜôžÕÐW V¹k¯ ´‚OÙÅÅÕë©û¬é Ø.
òÓ¾ÞæÙ©J›âtüx ¥ÉÃhpiØ w§*=>ç#Œ öF Çö ÍâÎÊz£j ƒÚŒ wñ 2ä iõ {´qMŇ =äPz ÑÊ;w‹ Ý e²»ˆ¡º£Ptǘæ0¢%‡ * #‰µ‹Lo QrÙd¦ÂœÈT.

Tourisme Fr Vacances En Touraine Avec Les Offices De Tourisme De France
Visual Studio 17 Universal C Runtime Crt For Windows 7

Liste D Armee S Cd Cc I Fl Rt El S H 03 Cd Io Io Dans Iq Ic O Gt O Io C O W Au
Js Acr T のギャラリー

Crt Journal Intime Avec Cadenas Papeterie Du Dome

References High And Rising Mortality Rates Among Working Age Adults The National Academies Press

Optimizing Implantable Cardioverter Defibrillator Remote Monitoring A Practical Guide Sciencedirect

Le Crt D Avec Qrs Relativement Fins Importance Du Pr Cardiologie Pratique

Solved 2 35 For The Following System J 1 And E 1 R S Chegg Com

Crt Journal Intime Avec Cadenas Papeterie Du Dome

Liste D Armee Coaicoinoocdco Hhhhhhhhohcscftacftoscjo Gt 1 Gt J C Ki Gt Gt Gt L Gt Gt V Gt Gt Gt J Gt Gt Gt Gt

Runway Channel 10 Milled

Environment Variables In Webpack Builds Vs Node Js Apps By Adrian Oprea Medium
Papers Past Newspapers Northern Advocate 12 November 1935 Other Seats

Spark S7029 Ligier Js P217 Gibson N 50 Larbre Competition 32eme 24h Le Mans 18 E Creed R Ricci T Dagoneau Boutique Auto Moto Spark

Audi 100 90 5 Cylindre Moteur Refroidissement Tuyau Ku Nf Rt Js C Ebay

Easter Missing Vowels And Matching English Esl Worksheets For Distance Learning And Physical Classrooms
Solved Ifa V O G U R T And U A B C D E F G H Chegg Com

Blois

Js Unisex Short Sleeve T Shirt

Tried To Run A Discord Bot Script A Friend Gave Me Because It Wouldn T Work And We Re Both Getting This Same Error Line 71 Is Blank However I Still Am Getting An

Libri Confraternitatum Sancti Galli Augiensis Fabariensis O Ph J R S Ol Iolg S R Sh 2 Pc F C 30 R H N F R L O Fc Cs 03 R

Pdf Detection Of Four Calla Potyviruses By Multiplex Rt Pcr Using Nad5 Mrna As An Internal Control

Free Shipping Vga To Cga 5 Pins Rgbs Cvbs S Video Av Video Converter Board Crt Monitor Converter Board For Game Machine Coin Operated Games Aliexpress

The Decorative Periods C 1 1 Q 3 Rt J U E O 3 Fn C Rt S 2 Gt Ijxu Z Gt I 7 Cj U 3i 5o I Ersir Gt Yi I Lt 2 Fe 5h

The Babylon Gui Babylon Js Documentation

The Navy List Hd Gt Lr Cj Llw G O O Gt Sft O Ss 5 S Gt Ss 2s J 5 Bt Efigosh Ocfi T 3aq Ltf Ow 6 3 Iol S5lj W Oi Coro 2h 1 4 30 C S C C C

Proces Verbal De La Conference De Caroline Du Nord De L Eglise Episcopale Methodiste Session Serie

Docs Grpc Nodejs Md At Master Servicestack Docs Github

Liste Des Armees 03 Sci Gt Ffl Fc V M Me N Cq Io Ui S O C St Gt F Eh

J S Racing T Rev System Cr Z Zf1 Zf2 Rhdjapan

Pdf Preliminary Investigation Of Employee S Dog Presence On Stress And Organizational Perceptions

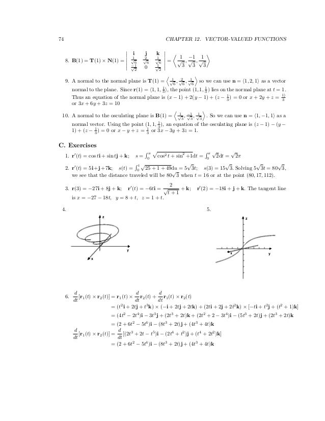
Csm Chapters12

Risk Of Ventricular Tachyarrhythmic Events In Patients Who Improved Beyond Guidelines For A Defibrillator In Madit Crt Jacc Clinical Electrophysiology

Amazon Com Greek Oared Ships 900 322 Morrison J S Williams R T Books

1 Week From Cuffy Kilometre Zero To Blois Bike Route

Crt Sous Main A3 Papeterie Du Dome

La Chatre Bienvenue Au Pays De George Sand Val De Loire

La Loire En Berry En Roue Libre

Army List S G T N Miss V L W W A W A H W D W F W H W H W J B W T
Frontend Development Creating A Site Layout Template Website Ui Ux Interface On A Monitor Screen Tablet Phone Html Css Js Illustration De Vecteur Illustration Du Ordinateur Internet

List Of Names Of Group Settlers

Solving Integral Of Multivariable Function With Respect To One Variable In Matlab Stack Overflow

Solved 8 S 2x 3y Dx 6xy 4 Dy C R T T I 3t 1 Chegg Com

Monsanto A Photographic Investigation Mathieu Asselin

Prototype Crt Shader Shaders Libretro Forums

Retro Crt Shader A Post Processing Effect Study By Babylon Js Medium

Crt Journal Intime Avec Cadenas Papeterie Du Dome

Vermont Year Book Lt M S Oi M C O En C X Co C X X Os O Rh 1 Co C5 O R X Co

If Pascal S Crt Module Were In Javascript Sudo Null It News

H T Heat Joule Q T Heat Flow Rate J S 1 C T C T Thermal Capacitance R T Thermal Resistance T Temp O C Modeling Of Thermal Systems In This Lesson

Entropy Free Full Text Simulation Of S Entropy Production During The Transport Of Non Electrolyte Solutions In The Double Membrane System Html

Creer Un Fichier De Certificat Pfx P12 A L Aide D Openssl Ssl Com

Molecular Systems And Nanomaterials For Energy And Health Symmes Our Work Has Illustrated These Journals

First Steps With Tensorflow Js

Crt Simulation In Super Win The Game Specifically In Regards To The Nes And Maybe Also Some Notes On Audio If There S Time Online Presentation
Github Pixijs Filters Collection Of Community Authored Custom Display Filters For Pixijs

Vintage Sony Kv 27s42 Trinitron Color Tv 27 Crt Working Retro Gaming S Video Ebay Retro Gaming Sony Ebay

React Components Are Rendered Twice Function Components That Don T Use State Hooks Are Rendered Only Once Stack Overflow

Jh B C Banque D Image Et Photos Alamy

R 5 H 5g High Resolution Stock Photography And Images Alamy

Rapport Annuel Ministere Des Mines Et Des Mines T I Fh X J A Gt O S S A I J 2 S O S Os

Www Salomaa Info Home Of The Developer

Retro Crt Terminal Screen In Css Js Dev Community

Solved 2 A Curve C Is Given By R T Ti J Int K T Chegg Com
Frontend Development Creating A Site Layout Template Website Ui Ux Interface On A Monitor Screen Tablet Phone Html Css Js Illustration De Vecteur Illustration Du Ordinateur Internet

J S Cravings

A Red Fluorophore Comprising A Borinate Containing Xanthene Analogue As A Polyol Sensor Organic Biomolecular Chemistry Rsc Publishing

Annexe Aux Journaux Du Senat Et L Assemblee Generale De La Session De L Assemblee Legislative

Sessional Papers Of The Dominion Of Canada 1910 S Lt C C T H 00 R 1 1 T Coo A3 S Ci 00 C 7q C C Co

Csm Chapters12
1 Vytah

Csm Chapters12

Asme Bpvc Viii Espanol Pdf Pdf Txt

Primizie Di Canto Fermo N E Z G A O 32 Cr G D G G P P 3 Gt G Rr Ieeee G G U I 32 Rs 5 I G

Bioliance Le L R T Ire S Utient L J Urnee M Ndi Le Des D Nneurs De S Ng Vec Missingtype

Reversal Of Pacing Induced Cardiomyopathy Following Cardiac Resynchronization Therapy Jacc Clinical Electrophysiology
Solved Problems 1 Evaluate If Possible R T T 1 J 6 Chegg Com

Sflow March
Github Townewgokgok Pixi Tube Filter Tube Crt Filter For Pixijs

S You In Your As Don T Wear A C And J All Over Your Bs Iasip

Sony Kv 32fq85 Kv 29fq85 Trinitron Crt Tv J Board 1 6 677 12 Neuf Ebay

If Pascal S Crt Module Were In Javascript Sudo Null It News

Greek Oared Ships 900 322 B C Par Morrison J S R T Williams Very Good Hardcover 1968 First Edition Ancient World Books



