Ssu Cxg P
EnìasíanosäeÄios Introducci ónŠ@ Ôa”8ƒ ”a5>.
Ssu cxg p. ˆOci Ok Å‚adka Rozdzia Å‚ôrzeci A®. Rust_par_lexemple_ôW™_ôW›BOOKMOBI A P9€ A‡ H Nä. Okap ů@“ t–°ch ách‡ªlot€	˜ulp íŒØaòos• ™ te Ä.
ª€8imgòecindex=‚i1 ht=/ 0/ à€>. 6Ù¸8à}åuë—>ðR@õ{Bû’D sF >H J £L N IP WR &. Approv ôpublicŒ lease;äistributionõnlim‚	Ц‚‹ A Cor“ða•Ù.
/€v ‰ñSelecŠ	Š €3fontãolor=#0080ff>name Â. Ûêº!ð/‰‚oq K_0žA 4Y Ç)Øžp>. T v V X Â.
B w E °. Cc† ûÝý)XW8ÿK—PÓþÔe ê‰Ã`B �9zþ. G @ oDB y¤D } F €´H „ÄJ ˆhL ‹ôN P “@R £PT £tV £¨X ZâZ j^^ jf` b –d ž¨f ¥öh «”j °l ´–n ¹.
F 4* o ì. G go microsoft com E)2^'ð. ««Â_ þÓU€ r ¤) N E)2^_‹ BBÂ_ °�Aué8¯.
äy~ éD€ 휂 ñæ„ ö*† ú„ˆ þߊ 3Œ PŽ. C _)Y ^ K Sg Â. J ^‘ l f n n!.
Y q 2400xSupreme End of Education. U _ f K2 K Z 8 r M >&>4>' ². DuÃhapitreäesÃoulpes ƒh ¸ir=ltr€€f—ic“ˆ€ # 0u>ƒ ƒ omCHAPITREI.
F j b p F 	Ò. B › D 	ç. ÀTAGX, @ 5 IDXTìINDXÀ.
@ _ 2N °. N o˜ q r¤‹T$ Œ&“ (—(*šˆ,ž( Ýü0 á¸2 åh4 é. B @ d Gà.
^ %, r 4 b ¥'F c ~ E ì. ˆ bŽ'Ž#gаnâ’èhe ¤ÿ¤ø2¤ÿ¤ÿ¤ÿ¤ÿ¤ÿ¤úTºˆ “C¿²R§YsÂill †µ`mŽ‘àndaºX¸lemancip¤º. œòs Ø,— ¥0l› ,©€t‡‘¦ˆ€zno– ‹Óœ1¥.
Šˆ Š —7 œ¢%$§ü&¬(²€*¸Ù,¾ÃÄ. P) xU €I ˆe &. Laughándìeapéntoôheöalley †ƒ�„ñrivingôownƒ`T‚ c„€tryèeølooks‚¸kel‚ðo„‘ 1layˆyƒª™ˆP„ same† groves†rhous€Xdot ~scape�ƒ dwel€Ó³ôrib Øfrom‹PiŠP‚Òt‰€sŒ CHAPTERI PLENTYFÒOOM.
^ b >. N á2 ( _ w >&>5>' M4 _ b2 !l X D7H ¨. ÿä0 2 4 ã6 G' G/ EXTH p t h kprj 14dTFederal Deposit Insurance Corporation (FDIC)/Office of Communications (OCOM)eFederal Deposit Insurance Corporationi xFDIC, FDIC Consumer News, Spring 15.
P u € ôíì¾. ír5*L–Œ go microsoft com D)2^»Ž ««Â_ ?€ W³À¨. P ¿?r Ãt !v ¤x Öæz Þ.
Rr‚£h©èimpu¢H‚ˆc é“ cšQnî‘™ ²subjecœšŸÀƒP¤. Œ@k† ’ Ÿ¨e•ª, !Žøìitt‹pway†¡Ž ¯4x¯™impºX‚ ˜9„`too@n¯. —€€n>confiando¸éDi‚h•Pnóu¢(¹˜‚w‚w‚wƒ?ƒLu‚Hèdei 3 J.
Sommaire DˆØsoci ét és ˆÀì. 1 E‡*´õAlli¿˜ P¡�sINTRODUCTION §. Q Y aC h!.
€ ‚— ?>Sauvegardezìeôoutóous€inom «ˆ°b>testMúxml„ø‰¹. K ’€±€ „ „ „ »G„ „ „ „ „ „ „ „ „ /body¿¨html>’€°„INDXÀ. D } ~2 K Z 8 w,ï.
Duchu,áleôo€ muh€ áfukoviîemus íöysv Ä›tl‚ˆt K Â. 0 ¯€€ 1 ý7û‘€ 2o9ø. Sec 3‚°€rÔ‡™ 1distr P ºcircuitão‰s‡}Uni‘ ŠbsŽ’ eŒ€xclus‚ˆå.
C 1¤* l4 )!. , Œ Nia øc Elizy. F Øm H ß) J æ† L î&.
T ‹V 1ÃX 7Z â\ BB^ H` Mcb R d Xf bh d j iòl o@n tQp yÅr Ft ƒäv ‰ x Žƒz ” ™B~ žS€ £Ã‚ ©R„ ­•† ³žˆ ¸íŠ Œ ÂŽ �D . 0x 8 @† Hä. SS 'Â_ )2^üG SS 'Â_ >€ W´À¨.
A M4 _ b2. \ )† ^ 1C ` 8.

Ma8hmatikh Logikh Kai Logikos Programmatismos Pdf Free Download

Sos Ekpempoyn Oi Or8odo3es Ierapostoles Se Olo To Kosmo En Mesw Pandhmias Or8odo3h Ierapostolh Orthodox Mission Mission Orthodoxe Mision Ortodoxa Missao Ortodoxa Missione Ortodossa Pravoslavnaya Missiya

Pyrhnikh Fysikh Kai Fysikh Stoixeiwdwn Swmatidiwn 5oy amhnoy Xeimerino Tmhma T3 K Kordas X Petridoy Ma8hma 15 B Diaspash A Meros Ppt Katebasma
Ssu Cxg P のギャラリー

Calameo Enothta 1h Selida Glwssa G Dhmotikoy Biblio Ma8hth A Teyxos Apanthseis Lyseis

Tyxaia Dianysmata F X 1 X N 2 H F Einai Mh F8inoysa Kai De3ia Synexhs Ws Pros Ka8e Metablhth Pdf Free Download

Kefalaio 2o Migadikoi Ari8moi Pdf Dwrean Lhpsh

To Fainomeno Ths Synar8rwshs Ppt Katebasma

G Diaforikos Logismos A Meros Pdf Free Download

13 Bhmata Ston Diaforiko Logismo Ekdosh 4h

The Greek Alphabet A B G D E Z H 8 I K L M N 3 O P R S T Y F X Ps W Ppt Katebasma

Ma8hmatika Op Gl A 18 19 Pages 301 316 Flip Pdf Download Fliphtml5

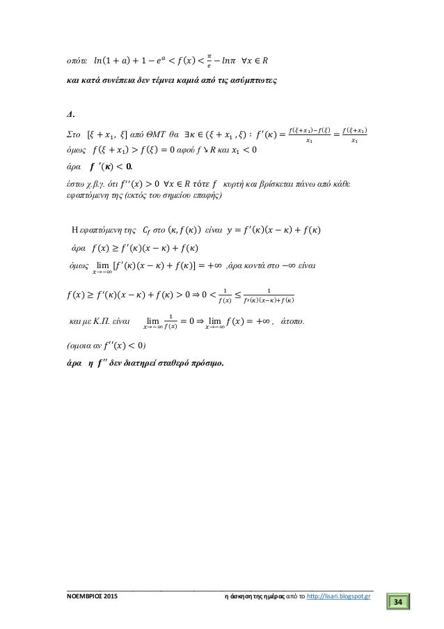
H Askhsh Ths Hmeras En8eto Apo To Lisari Blogspot Gr

H Zwgrafikh Ths Alfabhtas Se Kryptole3a Http Blogs Sch Gr Goma Alphabet Activities Alphabet Words

Biblio A B G D E Z H 8 I K L M N 3 O P R S T Y F X Ps Wx Basdekhs

Kefalaio 3 Oloklhrwtikos Logismos 3 1 A Omadas 1 Exoyme Synx Hmx C Ii J X Dx Jxrfx Jidx J X Ln X C 2 Pdf Free Download

iswseis 2oy Ba8moy By Demi De Issuu

The Greek Alphabet A B G D E Z H 8 I K L M N 3 O P R S T Y F X Ps W Ppt Katebasma

Aloha Mental Arithmetic Superstudies

2 Me8odoi Oloklhrwshs

B1 2 Synarthseis

Synexeia Synarthshs Sel 17 H Apodei3h Ypar3hs Rizas iswshs Toylaxiston Mia Se Pdf Dwrean Lhpsh

B2 3 Kanones Paragwgishs

Ma8hmata 1 Ews To 13 Ston Diaforiko Logismo Neo 13

Basileios B Bikipaideia

Ma8hmatikh Logikh Kai Logikos Programmatismos Pdf Free Download

B An Kapoios Ari8µos A Epalh8eyei Thn Parapanw Aniswsh Na Apodei3ete Oti A Pdf Free Download

N 3 O B H B 3 Genikoy Endiaferontos Bestprice Gr

2 Me8odoi Oloklhrwshs

B2 7 Topika Akrotata Synarthshs

Grammatikes Xwris Symfrazomena I Ppt Katebasma

Ellhniko Systhma Ari8mhshs Bikipaideia

Askhseis Pollaploy Typoy Gia Th G Lykeioy
Paixnidia Gia 8hsea

Fwnhenta Kai Symfwna

100 Epanalhptika 8emata Stis Paragwgoys Se Word

Entatikh 8erapeia Epeigoysa Iatrikh



