
Discrete Mathematics Cs 2610 1 Propositional Logic

Molecules Free Full Text Relationships Between Interaction Energy And Electron Density Properties For Homo Halogen Bonds Of The A Ny X X Z B M Type X Cl Br I Html

Solved Let F X G Y Be Continuous Functions Defined For Chegg Com
Fb Cxg のギャラリー

Math Labyrinth
Beckhoff Information System English
Solved Let U A B C D E F G H I J K A A Chegg Com

Let F X G X E1 X E 1 Xe1 X E

If F X Ax B And G X Cx D Then F

Solved Exercise 3 Let F X G X Be Continuous On The I Chegg Com

Let F X Ax B And G X Cx D Where A B C And D Are Constants Determine Necessary And Sufficient Conditions On The Constants A B C And

Rd Sharma Solutions For Class 12 Maths Chapter 2 Function Exercise 2 4 Pdfs Are Available For Free

Colorful Letters A B C D E F G Colorful Shiny Letters A B C D E F G Canstock

Symmetric Ciphers Questions And Answers

Untitled Document

Solved 7 Let Sets A A B C And B X Y Z And Chegg Com

Alphabet Folded Of Colored Paper Blue Letters A B C D E F Stock Vector Image Art Alamy

Ap Calculus Question 392 Answer And Explanation Crackap Com

If X A B C D And Y F D B G Then Find X Y And Y X Brainly In

Suppose That G A B And F B C Where A B C 1 2 3 4 G 1 4 2 1 3 1 4 2 And F 1 3 2 2 3 4 4 2 Find F O G And G O F Study Com

If F X 2x 3 And G X X 6 Use The Graph To Find The Solution To The Equation F X Brainly Com

Chapter 6 Notes

Functions Rosen 1 8 Definition Of Function Let

Statespace Search Artificial Intelligence Programming In Prolog Lecturer

Cast Index M N Padding Index H G 3 Point Index A B C X Download Scientific Diagram
Currying Wikipedia

Introductory Set Theory Pdf Free Download
Nasci 5000xg Off 74 Cafedestramways Lu
If G X F X X A X B X C Where F X Is A Polynomial Of Deg

Solved Use The Following To Answer Question 4 F X X Chegg Com

Relation And Functions

Answered 9 A The Domain Of F B The Range Of Bartleby
The Expression Ax2bxcis A Per See How To Solve It At Qanda
Cauchy S Mean Value Theorem

Answered Suppose That Functions F X And G X Bartleby
Let For A A1 0 F X Ax 2 Bx C G X A1x 2 B1x C1 And P X F X G X If P X 0 Sarthaks Econnect Largest Online Education Community

Notes On Topics Of Algebra Notes

Ap Calculus Ab Calculus Tracy Unified School District Calculus Ap Ap Fr Ap Calculus Pdf Document

Pigeonhole Pigeonhole Principle If N Pigeons Fly Into
Typo A B C D E F G H I J K L M N O

Ncert Exemplar Solutions For Class 12 Maths Chapter 1 Relations And Functions Avail Free Pdf

Algebra 2 How To Evaluate A Composition F X G X Youtube

Let A B C Suppose That F Is Continuous On A B That G Is Continuous On B C And That F B G B Define H On A C By H X

Solved 10 Let A B C R And Let F A B G B C Chegg Com

Lim X 2 F X G X B Lim X 0 F X G X C Lim X 1 F X G X D Lim X 3 F X G X E Lim X 2 X2f X F F 1 Lim X 1 G X Wyzant
Eddudpxtapmczm

Ex 1 4 10 If X A B C D And Y F B D G Find

Big Picture Of Category Theory In Scala With Deep Dive Into Contravar

Calculus Cheat Sheet Integrals

Graphing Transformations Of Logarithmic Functions College Algebra

Cute Animal Alphabet Funny Cartoon Character A B C D E F G Stock Vector Image Art Alamy
Let F X Ax 3 Bx 2 Cx D And G X X 2 X 2 F X F X
The Function F X Ax 3 Bx 2 Cx D Has Its Non Zero Local Minimum And Maximum Values At X Sarthaks Econnect Largest Online Education Community

5 08 Pdf Task 1 Part 1 Using The Two Functions Listed Below Insert Numbers In Place Of The Letters A B C And D So That F X And G X Are Inverses F X X
Given That F X G X For All Real X And F 0 G 0 Then F X

F X X2 What Is G X F X G X 2 2 15 Brainly Com

Consider Two Quadratic Expressions F X Ax 2 Bx C And G X Ax

Why Do We Need Somewhat Lengthy Proof Of The Integration By Substitution For Definite Integrals Theorem Mathematics Stack Exchange

Find Smallest Possible Degree Of F X From Given Conditions Mathematics Stack Exchange

Solved 1 Let A 1 2 3 4 And B A B C D Determine Whic Chegg Com

Multiplicity Dependence Of Light Flavor Hadron Production In Pp Collisions At Sqrt S 7 Tev Cern Document Server

Dsc Thermograms Heat Flow Endo Down Of A Xg B Lmch C Physical Download Scientific Diagram

Taste Of Haskell Definition Of Composition Stack Overflow

If F X X 2 7 X 4 P G X X 2 Q X 4 9 And The Lcm Of F X And G X Is X 2 Q X 4 Youtube

Solved F X X X 1 G X X 26 The Functions F And G Are D Chegg Com

Ax B And G X Cx

Chap 5 Relations And Functions Cartesian Product For Sets A B The Cartesian Product Or Cross Product Of A And B Is Denoted By A B And Equals A Ppt Download

Math 546 Problem Set 4 1 Prove If A B And C Are Sets And F
Cx Series Hazardous Area Limit Switches Honeywell

If F X Ax B And G X Cx D Then F G X G F X Is Equivalent To Brainly In

If Y Determinant F X G X H X L M N A B C Prove Dy Dx F X
Typo A B C D E F G H I J K L M N O P Q R S T U V W X Y Z 3d Neon Fonts Modern Alphabet

Solved The Graphs Of F And G Are Given A State

Solve For X And Y Please Answer A B C D E F G H I J K 2 Maths Pair Of Linear Equations In Two Variables Meritnation Com

Let F A To B And G B To C Be Two Functions Then I If Gof Is Onto Then G Is Onto Youtube

If Limit Of F X 2 And G X 3 As X C What The Limit Of F X G X As X C Socratic
Flat Icons Alphabet B C D Stock Vector Royalty Free

Definitions For A Function F A B The Inverse Of F Is The Following Relation From B To A F 1 X Y Y X F For

Example 19 Show That If F G Are Onto Then Gof Is Also Onto
1 Vytah

Functions Rosen 1 8 Definition Of Function Let

Answered A Use The Definition Of F To Show Bartleby
If F X Ax B And G X Cx D Then F G X G F X
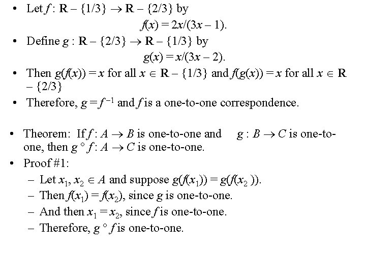
Composition Of Functions Discrete Mathematics Lectures

Chap 5 Relations And Functions Cartesian Product For Sets A B The Cartesian Product Or Cross Product Of A And B Is Denoted By A B And Equals A Ppt Download

Answered Suppose That The Functions F And G And Bartleby

13 Problems On Advanced Calculus I Review Test 3 Math 401 Docsity



