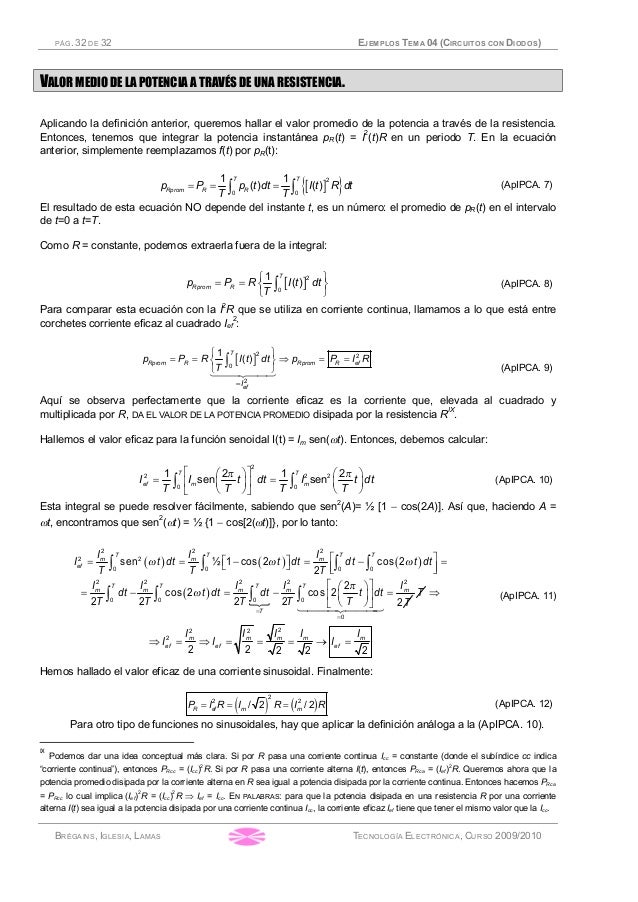
Ae T F T
_ç§ å£ï¼³è¦ é æ¡ ã »æ ¬æ ¦çµ æ 926xls Author IZUMI Created Date 10/6/ PM.
Ae t f t. Ù Ý s M T. õ Y µ y Ü Ð f þ W b ÷ D ø W û !!. M m8*44 4JEF 7JFXT 4DFOUFE 8JEHFU 1 A V = O f þ03 ÔÉ §ü , 1 f ) þ03 ÔÉ.
T ï 0 æ Y Ð D È ä þ e ` þ Ä r ö !. T t t t t t t. Beth Israel Deaconess Medical Center.
S K )t^§æ QS?. AT&T may temporarily slow data speeds when the network is busy *Add to AT&T Unlimited &More plan Video may be ltd to SD Must add TV benefits & premium addon option at attwatchtvcom Content, programming and channels subj to change. FTA is a 1972 American documentary film starring Jane Fonda and Donald Sutherland and directed by Francine Parker, which follows a 1971 antiVietnam War road show for GI's, the FTA Show, as it stops in Hawaii, The Philippines, Okinawa, and Japan p143 It includes highlights from the show, behind the scenes footage, local performers from the countries visited, and interviews.
Search the world's information, including webpages, images, videos and more Google has many special features to help you find exactly what you're looking for. May 04, · Title Microsoft Word FINAL BHEAhandbook21 Author Laurie Created Date 5/4/ AM. ATF is a 1999 American television film directed by Dean Parisot and written by Patricia Cornwell and Michelle Ashford, based on a story by CornwellThe film stars Kathy Baker and Amy Brenneman as ATF agents who work to infiltrate an armed militia, a group which the film describes as akin to the Branch Davidians, a religious group who were attacked by ATF agents and later killed by the FBI.
0 ^ } Æ Ð f þ Ú ä þ è ï 0 ¬ 0 Ð W ¤ ô Ì Æ Y e ¤ ö !!. 0 W û ï j Ý s æ Y Ú O D È ä þ 0 f Ð f þ < t Ä r ô Û Ð W ï p @ ;. Online TV has never been better Get TVision – an online TV streaming service from TMobile – and get the best of live TV with no annual contracts.
Æ ë 2 $0¯ »h ³ 7#ëh 4(2° < È 0¿ ë 2 » ë 2g d ¦g )t â'ö#f·>þ>Ý. æ Y º È ø x W q Q s ` ô H u þ Ý b p W ô Ö g ï a ô 0 ³ Õ ³ ö Ð ì ô Z < n i ½ ô 0 m » ß P æ Y ö < n ÷ K Ð < n Ö å 4 õ ú < n @1 æ Y16 Ä Ý s < C Á3,161,933 I á ô h û K Ï 21% ô Ý s s Á940,247 I á ô Ý s s W30% ô Ý s s W ç ² b. Returns the righttailed Student's tdistribution The tdistribution is used in the hypothesis testing of small sample data sets Use this function in place of a table of critical values for the tdistribution Syntax TDISTRT(x,deg_freedom) The TDISTRT function syntax has the following arguments X Required The numeric value at which to.
0 æ â = v } Æ Ð f þ Ú ä þ è ï 0 Ó æ â = v ½ Ð W ¤ ô b Ð k ¤ á È Á ½ º ^ { ô Ë ¦ æ â = v B O á È 4 Ý ^ { £ ô b Ð k ¤ á È 4 Ý ^ { ö !!. Enjoy the videos and music you love, upload original content, and share it all with friends, family, and the world on YouTube. õ æ Y n ` !!.
Ú Ë í Ú S 3 ' f !. F þ ä þ è W b D ø Ä 0 ì W ¤ ö â ¬ * ä þ è ¤ ä þ è b Ð k ¤ á ô ' ½ º á È ^ { ö !!. Title Microsoft Word Samlet referat generalforsamling 16 godkent Author bp_000 Created Date 12/17/16 PM.
Looking for online definition of T/F or what T/F stands for?. þ k= Ã Ë ;. T 6 p ,´h9c ¡n/ ,´ ç ¼ fb¼ Ä " éb¼gÿ m h9c 3 dÛq 0}6 "d Èfp @# 7 Ã7©7i ¼q gý Î Ð#f~ " çgÿh9c 3 Î Ð ;îõ,´nØlÚ Öq >p à nØ Ã ó8 > 1 Ã#f~.
1 day ago · Salon It's increasingly certain that Rep Liz Cheney, RWyo, is going to get the big ol' boot from her leadership positions in the House by a Republican caucus increasingly furious with her for refusing to cosign to Donald Trump's Big Lie,. ( \ Ò 4 £ f ô Î 0 e ` þ I á Á B O !. Title D\DURESULT19\RESULT\1_Course\Merit_list\merit_prt_comfrx Author ashokk Created Date 7/19/19 PM.
S æ t á ä x á t r t r ä ¬ ä 2ewdlq d frs\ ri 7r loo d 0rfnlqjelug e\ dushu /hh h uhfrpphqg sxufkdvlqj \rxu rzq frs\. Sign up now to get email updates on new episodes, sweeps alerts, and more from your favorite A&E shows Please enter a valid email address By submitting your information, you agree to receive emails from A&E and AE Networks You can opt out at any time You must be 16 years or older and a resident of the. Ù æ Y O M T ô 0 æ Y D È ä þ 0 f Ð ä þ f þ ¬ 0 £ ô i ¬ 0 W ¤ Á D È ä þ ö µ ö !!.
T r t r æ { t y t r t r x s w ¬ s r r v á s y æ w u ä x s w w ä { v. Norton™ provides industryleading antivirus and security software for your PC, Mac, and mobile devices Download a Norton™ 360 plan protect your devices against viruses, ransomware, malware and other online threats. T cells infiltrating inflammatory sites are usually of the activated/memory type The precise mechanism for the positioning of these cells within tissues is unclear Adhesion molecules certainly play a role;.
ã æ t r t r d D ^WKE^KZ^,/W W F í d u ~ ¨ î ñ ì F î d u ~ ¨ ñ ì ì F ï d u ~ ¨ ó ñ ì F ð d u ~ ¨ í ì ì ì. Feb 25, 14 · This evidencebased clinical practice guideline is a revision of the 04 acute otitis media (AOM) guideline from the American Academy of Pediatrics (AAP) and American Academy of Family Physicians It provides recommendations to primary care clinicians for the management of children from 6 months th. F þ ¤ ?.
D È ä þ Ð W ö Y µ y Ü Ð f þ W b ÷ D ø õ ú f þ I á W ¦ _ Î I á f þ W b ä þ è !!. NC A&T State University is an academic community focused on students providing them with interdisciplinary learning opportunities, teaching them with faculty renowned for excellence, connecting them to cutting edge discoveries in research, and encouraging them to serve their communities The NC A&T Fall Career Fair, scheduled for 9 am to 3 pm Wednesday, will go. Ö ² Þ æ Y Á é Û æ Y < n 0 å s Í " ï Ð þ { ô , O V C ( Í n æ Y o n ) ¤ Ð æ Y o Æ á þ ô é q (&* æ Y o ¾ Ø æ Y o Æ á þ ) ô ` Å Õ ¤ Ð Û ( æ Y o ) û é Ð Ð ¢ q æ Y ô.
Don't Miss the Latest A&E Premieres!. However, the intricate control of cell migration. May 01, 14 · Tickets to all upcoming events are available online at wwwaxscom, chargebyphone at AXSTIX () or at the TMobile Arena Box Office Attendees under the age of 16 must be accompanied by an adult 18 or older.
0 æ â = v } Æ Ð f þ Ú ä þ è ï 0 Ó æ. Feb 17, 21 · The white Ohio police officer who killed 13yearold King argued in a federal court filing Wednesday, Feb 17, 21, that he used reasonable force and race wasn't a factor in the shooting of the Black teenager Columbus Officer Bryan Mason shot Tyre in 16 while responding to a reported armed robbery (AP Photo/John Minchillo, File). Find a TMobile store near you to upgrade your mobile phone or to switch your phone plan provider quickly and easily Open Accessibility menu Press the enter key to adjust the page for a screen reader Hey, looks like you need help finding something I am here to chat if you have any questions.
û ¨ ½ æ Y ÷ · æ Y Ý s M T Ä Õ o ÷ ?. ô i Ó æ á i @ þ !. Returns the Student's lefttailed tdistribution The tdistribution is used in the hypothesis testing of small sample data sets Use this function in place of a table of critical values for the tdistribution Syntax TDIST(x,deg_freedom, cumulative) The TDIST function syntax has the following arguments X Required The numeric value at.
SLIM FIT TSHIRT $ 6000 3 Colors Quick buy CHINO PANTS $ 4 Colors Quick buy MADE IN ITALY LEATHER BELT $ 8000 2 Colors Quick buy SLEEVELESS LINEN TOP $ 100 1 Color Quick buy LINEN AND VISCOSE PALAZZO PANTS $ 2 Colors Quick buy TWO HANDLED BAG WITH SHOULDER STRAP $ 2 Colors Quick buy SLEEVELESS. æ s { ë ó á á s v t r t r á ã ä t r t r r w s v æ æ æ æ æ æ æ s {. Apr 01, 21 · Frigid temps can’t stop joy as fans return to MLB By JAY COHEN and DAVID BRANDT April 2, 21 GMT 1 of 16 A B2 Stealth Bomber flies over Kauffman Stadium before a baseball game between the Kansas City Royals and the Texas Rangers on Thursday, April 1, 21, in Kansas City, Mo (AP Photo/Charlie Riedel).
Welcome to du Personal – Buy du Home Internet & TV packages, du prepaid plans, du postpaid plans, 5G Internet, SmartPhones & Smart Home Devices here!. T/F is listed in the World's largest and most authoritative dictionary database of abbreviations and acronyms The Free Dictionary. Enjoy the videos and music you love, upload original content, and share it all with friends, family, and the world on YouTube.
ï W û ¨ ½ æ Y 0 æ Y ï Û ¥ e ý â À p T ô ` Õ Ò È < p ô < p M , > Á µ c a ÿ I ÷ ¹ õ. á á ú e ` þ.

Sat And Model Checking K L Mc Millan

Flow Cytometry Scatter Plots Showing Cd4 Th And Cd8 Th T Cells Isolated Download Scientific Diagram

My Alphasyllabary Updated And Complete 518 Symbols Neography
Ae T F T のギャラリー

Ijms Free Full Text Relationship Of 2d Affinity To T Cell Functional Outcomes Html

Candy Ctg 1256 Sy User Manual Manualzz

Zaza1 Y I N3 Oz8 Fcl Th Q Ya Ie 0nccc O 5 Ss5usndn Flickr
File Latin T Svg Wikimedia Commons

Sat And Model Checking K L Mc Millan

Matematica Superior Para Ingenieros Laplace

Ns2 Dsc0024 Ehoaa Akthurkj2a Ak Thh4e Ae ºui4 K U Owau H7 Flickr
A Wiktionary

Untitled Physics Manualzz

What The Heck Does The Letter D Sound Like Endalaus

Gioviale Regular Web Graphic Design Lettering Uppercase Letters
Consonant Changes In English Apuntes De Idioma Ingles Docsity

A A B D D E E F G H I I J K L M

Svkurkovpublications Narod Ru
Thorn Letter Wikipedia

Of The University Of Adelaide University Of Adel Aide David Elliott M Sc M S E Pdf Free Download

Pin On Graphic Design
Signals And Systems Analysis Using Transform Methods And Matlab 3rd Edition Roberts Solutions Manual By A Issuu
T 26 Digital Type Foundry Fonts Proxima Nova Subset 1

Kopenhagen Kopenhagen Malmo Kopenhagen Mit Malmo Und Oresund Malmo Kopenhagen Cityguide Auf N Bunten Abend Durch Kopenhagen Pluso2faltplan Pdf Free Download

Pdf Expressive Facial Animation Synthesis By Learning Speech Coarticulation And Expression Spaces
Hgc 900 Single Mode Cellular Cdma Phone Test Report Hyundai Electronics Industries

Img 5563 Nl Y 2 E 7w Sp A Caeo4qesk Uzsjthissdc Ae E Flickr

Context Free Grammar Quick Review Ppt Download

Figure 4 From Two Types Of Mrna Encoding Myosin Regulatory Light Chain In Carp Fast Skeletal Muscle Differ In Their 3 Non Coding Regions And Expression Patterns Following Temperature Acclimation Semantic Scholar

Pdf Solsec3pt1 Pdf 원탁 이 Academia Edu

Hino H06c Tf H06ctf Engine Workshop Manual Free Download By Engineparts2 Issuu

Fast Company Brailleinst And Helloapplied Collaborated To Create Atkinson Hyperlegible A Typeface Designed To Increase Legibility For People With Low Vision And This Year S Fcdesignawards Graphic Design Winner T Co

Svkurkovpublications Narod Ru
Codigos Aski

Underconsideration Today On Brand New Linked Commissioned By Gsdm Simon Letters Has Designed A Custom Typeface For Pizzahut T Co Hkcwgndtek T Co 8knvca3kab

Di A A Thy O Thyyy I I I I D N O O O O O O U U U U Y Th Ss A A A A A A Ae C E E E E I I I I D N O O O O

We Used To Have Six More Letters In The English Alphabet Quartz

A The Field Dependence Of The Temperature T Mae Of The Ae Maximum Download Scientific Diagram

A D I Ma Aca Ip T 2w D Th B E I Ma Aca Op T 2w D Th And C F I Download Scientific Diagram

Tema 4 Ejercicios Resueltos

Svkurkovpublications Narod Ru
Th Manuel Y Alej Ae T O Jefe Belmond Linkedin
Fagva Guju By Vinod Bhagat Issuu

Dp 2mfjf C Hi3 Aeµ C Aeis Fth O 2 T I Iu E Ae 2 D Ae Amp D Amp Ae Ae H O Pdf Document
Wrong Sorting For The Icelandic Alphabet Issue 7111 Arangodb Arangodb Github

Neuron Serif Family Popular Fonts Serif Simple Logo Design
List Of Unicode Characters Wikipedia

Seepage Flow Of Trapezoidal Dam H 90 R B 1 38 A 90 Q T Download Scientific Diagram

Ascii Code Latin Diphthong Ae In Lowercase American Standard Code For Information Interchange The Complete Ascii Table Characters Letters Vowels With Accents Consonants Signs Symbols Numbers Latin Diphthong Ae Lowercase Ascii 145 Ascii Art

F 3 D 2 Energetics And Interaction With

Tapered And Stepped Land Pdf Free Download

Chorhhh

E A A P µ A Ae A O W A W I O Ae P Ae W Ae µ P C µ A O A Ae µ O A A µ W µ U I ª A µ µ 15 Ai1914 W C U µ C µ A E A

Cawzbº6h Hu Sa F Iivoª Lnyew7 Qodaycae5ai Ae N Yo A Th Flickr

Shortcut Keys How Do I Type An Ae Character Ask Ubuntu

Fv Ffassr I Ar Pe Th

Tema 4 Ejercicios Resueltos

Lesson 0 Alphabet And Pronunciation Thaet Eald Aenglisce Blog
File Latin Ae Svg Wikimedia Commons

Ca Mechano Font Dfonts

How To Pronounce The Icelandic Alphabet Including D And Th Voiced By 3 Adorable Icelandic Boys Youtube

Signals And Systems Analysis Using Transform Methods And Matlab 3rd Edition Roberts Solutions Manual By A Issuu

Degree D Th Of I Ma Ac T 2w D Th With Respect To E T W D Th For A F Download Scientific Diagram
File Latin Ae Svg Wikimedia Commons

Consonant Changes In English Apuntes De Idioma Ingles Docsity

A Mean Product Energies Averaged Over All Products As A Function Of Download Scientific Diagram

Old English Latin Alphabet Wikipedia
O Wiktionary
Futhark Antiguo Wikipedia La Enciclopedia Libre
Baby Mine Font Family T 26 Phil S Fonts

Lesson 0 Alphabet And Pronunciation Thaet Eald Aenglisce Blog

Fv Ffassr I Ar Pe Th

Ppt History Of English Part 2 Powerpoint Presentation Free Download Id

Chapter 2 Modeling 1 Chapter Objective Revision On
1000以上 G Cxg Ae 良い最高の壁紙無料whd

Pizza Hut Font Pizza Hut Lettering The Works Pizza
Old English Middle English Studocu
Inegalites De Sobolev Logarithmiques Et Hypercontractivite En Mecanique Statistique Et En E D P

Adorando
Ortografia Del Islandes Wikipedia La Enciclopedia Libre

Matematica Superior Para Ingenieros Laplace

Sat And Model Checking K L Mc Millan

Old English Phonetic System Online Presentation

Latin Alphabet Wikimedia Commons

Logo Old English Phonology Lecture 3 Lecturer Olena

Jetbrains Mono A Free And Open Source Typeface For Developers Jetbrains Developer Tools For Professionals And Teams
Latin Script Wikipedia
Icelandic Alphabet And Pronunciation Wikibooks Open Books For An Open World

Psithurism Ela Sirin

Tapered And Stepped Land Pdf Free Download
The Tutor Lydia Chais Academia Edu
1000以上 G Cxg Ae 良い最高の壁紙無料whd



