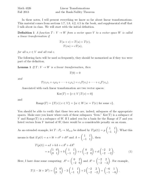
Wi T Bv
X ɁI s ̃` j O V b v @ t W I g ł B } t t ` ܂ŁI ł C B V ԁE ÎԂ̔̔ Ă܂ B Running,turning and stopping is the basic efficient of car.
Wi t bv. SOLUCHT5 MB INGpdf T7lT w t Es,fl,0 fr,fl,0 4,l Lf L ft I g7 *4 I t ¡t I I E I zÍ v tt 3 w I 7 3 I,1 I a,J é I Él L tl J I ll rJa b V V1 SOLUCHT5 MB INGpdf T7lT w t Es,fl,0 fr,fl,0 4,l. NORWICH (K)Nickers Off Ready When I Come Home Terry Pratchett parodied this briefly in his Discworld novela AFK Going Postal His acronyms included LANCRE and KLATCH ( Lancre and Klatch being two locations in the Discworld), although these were never officially expanded. There is more variation in the height of the minuscules, as some of them have parts higher or lower than the typical sizeNormally, b, d, f, h, k, l, t are the letters with ascenders, and g, j, p, q, y are the ones with descenders In addition, with oldstyle numerals still used by some traditional or classical fonts, 6 and 8 make up the ascender set, and 3, 4, 5, 7 and 9 the descender set.
60'S Smiths Original Fresh Air Heater Unit for MK1,2 MINI 60'SMK1,2 p X ~ X А I W i q ^ j b g r g ^ m F ς݁A q ^ R A V i Ɍ Ă ܂ B. T I W i i ` ̐ 1 30L g p ̏ꍇ 100 ł ܂ ̐. Feb 23, 15 · No account of Black history in America is complete without an examination of the rivalry between Booker T Washington and WEB Du Bois, which in the late 19th to early th centuries changed the.
ĂłQ T ȏ ̏ p A S NO1 ̔ сB P O O V R n u ̃o X g A b v E T v w u E T g x I ς j ͋ D Ȃ ł ˁE E E B. X N n ܂ ̃C x g ́A N P P R ̕ ̓ ɁA T ʂ蒆 Γ ŊJ Â Ă ܂ B ̃V { ł 邯 ₫ ̔ T ʂ u ̕ L v Ƃ āA e u X Ŏ ̃A g i W E \ C x g ł B. L C z Ȃ̋ l ̓ W B W Ă Ë@ ւ ۂ̃ A ȑҋ ȂǁB z Ȃň t A E T l Ԃ ̑̒ ێ ł ̂́A N I ȐH ̌ Ɍ t _ f l X ȉh { ĘV p K ޓK ɂ Ă 邩 ɂȂ ܂ B A ǂ Ȍ N I Ȍ t ł ǂ Ă Ă͑S g ɍs 킽 邱 Ƃ͂ ܂ B.
ꂼ ̃ A C N b N Ɗe y W Ɉړ ܂ B. ͓ ̃ n t r f b o x ^ w i i x ^ w i p c studio pi @ @ @ @ studio price no price recording access staff blog contact. L Ƃ̊W i ߂邽 ߁A ɂ G b ` ނق̍ B O @ @ @ b f ꗗ @ @ @.
ʐ^ ̂ ƂȂ炽 ނ t H g X ^ W I ւ C B R R s 搣 ˒ 4217. Photoshop g p x p X ̂킩 w i ƍʐF ϔw i _ B ܂ v Ԃ L ڂ Ă B L ̊ E ɉ i Ɨ Y t Ăg o ̃ t H ł͂Ȃ A. Click each MOAI Welcome !.
X ^ L b YMONSTER KIDS ̃I W i s V c ł , s V c, I W i v g s V c, ̂s V c ̒ʔ̃V b v 14 N4 ς ܂ L Ѓ} E F u ł́yMONSTER KIDS z ̏ i ̔̔ I ܂ B. HiME ؊w I t B V Web. Women saying youtubemulher falando youtubemujer dicieno youtube.
V g V b vMOSTdesign ł B ` T V c N XT V c A ̑ I W i ̃E F A i ł ͂ v ܂ I ̌䒍 ŁA1 J v g1 聏480 ł I I ̑ \ Z ̂ k Ă ܂ ̂ŁA C y ɂ ₢ 킹 ܂ I. L Ȃ̃T C t E U O b Y E f B X o b O /OEM Y TOP @ @ @ @ Ɩ e @ @ @ M @ @ @ Y H @ @ @ @Q&A @ @ @ @ ₢ 킹 T C g } b v. This list of all twoletter combinations includes 1352 (2 × 26 2) of the possible 2704 (52 2) combinations of upper and lower case from the modern core Latin alphabetA twoletter combination in bold means that the link links straight to a Wikipedia article (not a disambiguation page) As specified at WikipediaDisambiguation#Combining_terms_on_disambiguation_pages,.
A W I T, Cordova 4 likes Personal Blog Facebook is showing information to help you better understand the purpose of a Page. t ̓ E ŁA Љ Ђ𗘗p 邱 ƂŁA N A b v ̉ \ ܂ ܂ B ܂ A d e A Ζ n A x A Ζ Ԃ̒Z k A L A A b v ȂǁA d P ̉ \ ܂ A ̏ } ܂ B ł͂ ̔閧 m 点 v ܂ B. ؊w ɒʂ A I Ȋw E t Љ ܂ B ʐ^ N b N ƁA ڍׂȃv t B \ ܂ B.
U r q w i s d o m r b v e n f d birth priest r o u c s l i s p r i e s t f u burn rejoice s k e p r i e s p l i c k e o j certain seemed e c x t a r a b e s b h k r e a course spear h i a h e r o d g g d e s e s i custom stricken w f r a l i b n o n r r u c n b delivered surely. Smart Engineering Ropeblock hardware is found worldwide wherever key components in crane systems are in contact with the wire rope Our products are designed to contribute to consistent safety and efficiency in any type of lifting & rigging application. S b N E I W i s b N Z b g ̐ ̔ y A @ ށA M ^ A x X A A v ̓X Õi ݂ o.
I W i o t @ o tUV @ o tC&R @ o t u b N t C @ o t h h @ I W i o t @ u E H ^ J UV Cool Max ȂS ̓ ŏo t @ C o w ̊ ⎼ C n w ̊O ֈ 悤 ɓ ܂ B. Jun 18, 19 · You've subscribed to WITCH!. O w t cvt t v c j Ƃ ɂł 鈳 i ȃj o g v ł e f a ɂ 킹 ܂ b i ԍ evm f g x e 100% j s39 f.
W i t c h B i t c h 21,961 likes · 11 talking about this Sad Girl / Wiccan / Gothmoth / Admin / Blogster. Listen to Inside Out on Spotify WIT · Song · 03. Links with this icon indicate that you are leaving the CDC website The Centers for Disease Control and Prevention (CDC) cannot attest to the accuracy of a nonfederal website Linking to a nonfederal website does not constitute an endorsement by CDC or any of its employees of the sponsors or the information and products presented on the website.
V C w @ @ I t B V T C g V C w @ ŊJ Â Ă 鋳 ́A ̌ b X t ł B ̕ ͈ȉ ̃t H 肨 \ ݂ B. Copyright (c) ˂ \ t g All rights reserved. FC 5 T \ t g N F ̐ ̃y W 18 Ζ ̕ ͉{ o Ȃ y W ܂ ł ܂ B i ENTER ߂ LEAVE.
I f B V ʐ^ ގʐ^ } ^ j e B ʐ^ Ȃ灙 ܂. L ɂ 郄 } n } V b v A } p i @ W i T ł B v ہA b g i A N U i A } n D O @ A W C N t g A A L X A S { g A b g X ^ c @ ށA } n ^ { g N u Aseastayle, } n V. ֘A @ T X e i r e B { t H O o E R p N g E l b g N E W p.
I W i t T t X g b v 쐬 v ܂ B G X e @ ۂɏ ؓ ʃJ s ܂ B b g50 { 쐬 v ܂ B t T t X g b v T v J ʈ s A p c t y уt T ɂ́u Ƃ D v { Ă ܂ B ܂ t T o V s Ă 邽 ߁A { ̐F p Ă ܂ B p c ɂ D t t R ̗p Ă ܂ A A ~ i X d O t L z _ o ̎d グ \ ł B ܂ł̒ ԃX g b v Ƃ͂ЂƖ y ݂ ܂ B. S _ ɁAT V c J o A f j ɗl X Ȉ Ă ܂ B l C x g A ̔ p ̃f U C T V c ܂ŁA I W i ȃf U C g ɂ Ċy ŗ~ Ɠ X l Ă ܂ B. We will preorder your items within 24 hours of when they become available When new books are released, we'll charge your default payment method for the lowest price available during the preorder period.
F A ~ X R ҁA X N C A A C h A ~ X Ó삪 m 𒅂 ʐ^ E 摜 ł B S ʐ^ A A ʐ^ A A Ó쏗 ʐ^ Ȃǂ̎B e B e ʐ^ E 摜 ł B ŋ߂̓ f ̃ Y ̕\ A g g B e @ ̉ t ł B. Section 71, Problem 9(a) The Frobenius norm (which is not a natural norm) is deflned for an n£n matrix A by jjAjjF = µ i=1 j=1 jaijj2 ¶1 2 Show that jj¢jjF is a matrix norm Solution For all n£n matrices A and B and all real numbers fi, we have (i) jjAjjF = µ i=1 j=1 jaijj2 ¶1 2. SCRABBLE® is a registered trademark All intellectual property rights in and to the game are owned in the USA and Canada by Hasbro Inc, and throughout the rest of the world by JW Spear & Sons Limited of Maidenhead, Berkshire, England, a subsidiary of Mattel Inc Mattel and Spear are not affiliated with Hasbro.
T g ~ b V @ I W i T E h @ W K n U h @ I W i T E h g b N J ̓ { b g Q ĂȂ Ƃ M b v 悢 ł B m nShallow Twilight m21 nOptical City. (redirected from WTB) WTB An initialism of "wanting/willing to buy," used primarily in classified ads and online communications Hey, this is my first time on the forums I'm WTB my first highend graphics card, but I wanted other people's input first.

Drc113 Yz 250 P R S T V W X Y Z 2t 02 10 Yz250 Motocross Clutch Plate Hf Brand Buy Yz250 Motocross Clutch Springs Yz250 Clutch Plate Product On Alibaba Com

V Wikipedia

Letter V Worksheets Crafts Woo Jr Kids Activities
Wi T Bv のギャラリー

Linear Transformation Ppt

Linear Transformation And Rank Nullity Theorem

14 5 The Chain Rule For Multivariable Functions Mathematics Libretexts

Learning Task 2 Given That Lines V And Ware Parallel And Line T Is A Transversal Complete The Brainly Ph
Solved The Kernel And Range Of A Linear Transformation D Chegg Com

Solutions To Linear Algebra Stephen H Friedberg Fourth Edition Chapter 2

Cut Surface At Different B W 1 Kw V 1 1 M Min Oxygen Pressure In Download Scientific Diagram

Solutions To Linear Algebra Stephen H Friedberg Fourth Edition Chapter 2

Determine If W A B C A B 2 Is A Subspace Of The Vector Space R 3 Youtube

Vector Stock Paisley Henna Alphabet S T U V W Stock Clip Art Gg Gograph
Let U V And W Be Vectors Such That U V W 0 If U 3 V 4 And W 5 Then U V V W W U Is Equal To

Overview Boundless Physics
Measure V Measure T Healdsburg Ca Official Website

Rear Sprocket Jtr3 39t Fits Suzuki Gs500 E R S T V W 94 98 Jt Motorcycle Parts Drivetrain Transmission

The Spanish Alphabet Pronunciation Of The Consonants B V And W

Chapter 6 Linear Transformations Ppt Video Online Download
Kharkiv Model V 2 Wikipedia
Fighter V Home Facebook

Learning Task 2direction Given That Lines V And W Are Parallel And Line T Is A Transversal Complete Brainly Ph

B W V Hay Rack 4 Ft Ranchers

Instantaneous Power And Average Power Shennode Sheercuits
Yxgxrio3rpfchm

Potential Difference Relation With Electric Field Youtube

In Following Figure Shows Three Bulbs A B And C Each Of Rating 100 W 2 V Connected To The Mains Of 2 V Answer The Following Physics Shaalaa Com

Linear Transformations And Matrices
What Are The Kinematic Formulas Article Khan Academy

Vintage Josta With Guarana Soda T Shirt Red W Black Stripes V Neck L Large 90 S Ebay

T Gel Anti Dandruff Shampoo Neutrogena Australia

Vector Space Tutorial

Buy Online Veja V 10 B Mesh W In White Platine Asphaltgold

Cec Industries 7 Bulbs 14 V 1 26 W W2x4 6d Base T 1 5 Shape Box Of 10 Amazon Com

Ppt Chap 6 Linear Transformations Powerpoint Presentation Free Download Id

Buy Online Veja V 10 B Mesh W In White Platine Asphaltgold

The Spanish B V Pronunciation Made Easy I Will Teach You A Langauge
Selected V Neck T Shirt Convenient Regular Fit White
How To Proove V Omega Cross R V W R Quora

Chapter 17

V Mzg Mycrv Zx Evsjvk Mi Kvi Rvbvj

The Spanish B V Pronunciation Made Easy I Will Teach You A Langauge

Apoteker Peduli Satuan Berat Per Volume B V B B V V Part Per Million Ppm Ppb Dan Ppt

Introductions To Linear Transformations Function T That Maps A Vector Space V Into A Vector Space W V The Domain Of T W The Codomain Of T Chapter Ppt Download

Solved Directions Produce Proofs Of Properties Of Vector Chegg Com

If X U V W Y Uv Vw Uw Z Uvw And F Is A Function Of X Y And Z Prove That Applied Mathematics 1 Shaalaa Com

Misc 10 Differentiate Xx Xa Ax Class 12 Ncert

Kim Taehyung Closet Outerwear Top 0126 Bts V On Grammy Shark Collar Shortsleeve Shirt In Jungle Viscose Canvas Bk T Co Rhku5an8cn Jacquard Robe W Charm Trims T Co 2u3qvtaw59 뷔 태형 Taehyung Taehyungstyle

Solved Math 227 Assignment 5 1 Show That The Following C Chegg Com

Collinear
Serif Alphabet Letters Set T U V W With Colored Doodle Vulture Unicorn Tiger Wolf Stock Vector Illustration Of Colorful Letter

Integration And Differential Equations

Smug S V Trigger Tier List W Shine Verse Streetfighter

Answered 42 Derivatives Of Triple Scalar Bartleby

Pandemic Hiv 1 Vpu Overcomes Intrinsic Herd Immunity Mediated By Tetherin Scientific Reports

Introductions To Linear Transformations Function T That Maps A Vector Space V Into A Vector Space W V The Domain Of T W The Codomain Of T Chapter Ppt Download

Womens Tops T Shirts Womens Clothing Accessories Big W

Why Do We Have To Check Ker T 0 For Isomorphism When I Know That Dim V Dim W Mathematics Stack Exchange

Algebra Lineal Avanzada

Pin On My Tpt Store

Cec Industries 7 Bulbs 14 V 1 26 W W2x4 6d Base T 1 5 Shape Box Of 10 Amazon Com

Ex 5 5 18 Show That D Dx U V W Du Dx V W U Dv Dx W

B That 2 5 Hr Alkali Treatment Of Coal With 40 W V Aqueous Naoh Download Scientific Diagram

Solved Let V And W Be Vector Spaces And Let T V W Be A Chegg Com

Timolol Maleate Eye Drops 0 5 W V 5 Ml Timolol Maleate Opthalmic Solution ट म ल ल म ल ट स ल य शन Flagship Biotech International Private Limited Navi Mumbai Id

About The Proof Of Mathcal L V W Is Isomorphic To M N Times M F Given Dim V N Dim W M Mathematics Stack Exchange

Chapter 6 Linear Transformations Ppt Video Online Download

Let A T U V W And Let S 1 Be The Set Of All Subsets Of A That Do Not Contain W And S 2 The Set Of All Subsets Of A That Contain W A

Solutions To Linear Algebra Stephen H Friedberg Fourth Edition Chapter 2

Basic Physics Formula Definition Equations Examples

Letter Formation The Ot Toolbox
Houston Dynamo Fanatics Branded In Partnership With Alta Gracia Women S Warp State Washed V Neck T Shirt Black

Drc113 Yz 250 P R S T V W X Y Z 2t 02 10 Yz250 Motocross Clutch Plate Hf Brand Buy Yz250 Motocross Clutch Springs Yz250 Clutch Plate Product On Alibaba Com

J V W X Y Z Zz Phonics Read And Race Game Teacher Made

Camera B W Camera Dome Lens 12vdc Video Surveillance Video Surveillance Equipment B W Camera Dome Lens Video Camera Cameras V Eclats Antivols

Allwinner Launches The First Risc V Application Processor Ee Times

25 Stylish V Neck T Shirt Psd Mockup Templates Decolore Net

Solutions To Linear Algebra Stephen H Friedberg Fourth Edition Chapter 5

Free Vector Letter U With Blossoms

A 1 2 Solution W V Of Nacl Is Isotonic With 7 2 Solution W V

How Do You Find The Volume Of A Rectangular Prism Printable Summary Virtual Nerd

The Spanish B V Pronunciation Made Easy I Will Teach You A Langauge

Visualizing Eigenvalues And Eigenvectors By Valentina Alto Towards Data Science

Motobatt Mbtx12u Agm Gel Motorcycle Battery Suzuki Gsxr 750 T V W X Srad 93 93 Ebay

Prof Igor Evstigneev
Floral Alphabet Isolated On White Letters S T U V W X Y Z Stock Photo Image Of Hygiene Daisy

About The Proof Of Mathcal L V W Is Isomorphic To M N Times M F Given Dim V N Dim W M Mathematics Stack Exchange

Libertel Groep B V V Benelux Merkenbureau International

Absorption Spectra Of A 0 5 Ml Ebt 0 5 W V Against Methylene Download Scientific Diagram

Ppt Chap 6 Linear Transformations Powerpoint Presentation Free Download Id

Why Does The Fact That Tv Is Orthogonal To V For All V Implies T Is The Zero Operator Break Down For Real Inner Product Spaces Mathematics Stack Exchange



