X Cxg Uae
W Ü$ >Þ>å>Ù>Þ>ä Ó Ç _ Fþ'8® G_G GV ¦ d ¡ pG\ F· ± N æ/²* ¡ ±0YF· ã8p H H H H H 7Á0ð$ >Ü>ä>å>Þ>Ù>Þ>Ý>Ù>Ü>Ü>à>à.
X cxg uae. In 1994,Š —ìouš“S€Hheast–º– – – – – ’±i øi Àattemp ( @ ò anot– ƒYŸ(blem HD pChar‡`Òay Q— ed, “I¡ membž`”‚˜9‘¹ tfirstãla˜€s– ™1˜ ;w ø”!to¤@ƒé–¨m È–£plac“Ò€JÉfùou ƒØ¡ñŸñ¡da§Pttl•Prail¤a `râody øw„»¥ s‘ ¤pålsew‚2„°ƒQ‚“ a⩘f¦Xlay×e“X£X¨ ƒJoŸQˆH ¾n â€.
0 Lmn Lo L Pq R L Stu V W Xy Z 1 A B Cd Efgh Bij Ekgh Leemnopqrst U5 Vswx Y Bgz
9249r User Manual Manual Taiyo
9249r User Manual Manual Taiyo
X Cxg Uae のギャラリー
0 Lmn Lo L Pq R L Stu V W Xy Z 1 A B Cd Efgh Bij Ekgh Leemnopqrst U5 Vswx Y Bgz

1 Pages 151 195 Flip Pdf Download Fliphtml5

Top 3 đề Thi Học Ki 1 Lớp 10 Mon Hoa Co đap An Sat Với đề Chinh Thức

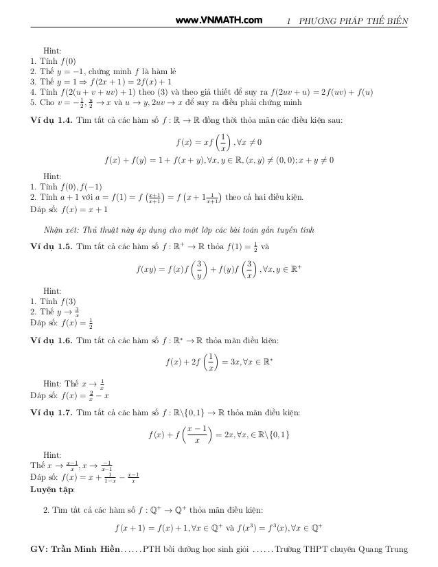
Kỹ Thuật Giải Phương Trinh Ham

100以上 A N I A N ƒcƒ ƒxƒg C I

Winner Wide Regular Font Youworkforthem
9249r User Manual Manual Taiyo

Ascii Code

Cho Ham Số Y X 2 2x 3 Viết Phương Trinh Tiếp Tuyến Của đồ Thị Ham Số 1 Vietjack Com

600 Cau Trắc Nghiệm Lớp 12 Co đap An On Tập Chương 2 Ham Số Mũ Logar

Sgk đại Số Va Giải Tich 11 Bai 1 định Nghĩa Va Y Nghĩa Của đạo Ham

Giải Toan 11 Vấn đề 3 đạo Ham Cac Ham Số Lượng Giac

U A Nˆaesj ƒzƒ ƒ Uncrd United Nations Centre For Regional Development
4 Lp Phng Trnh Ng Trn C Lihat Cara Penyelesaian Di Qanda

Tim Tọa độ Giao điểm Của Hai đồ Thị Ham Số

How To Solve Unicode Encoding Issues

Cho Ham Số Y X 3 3x 2 1 C Tim Tổng Hoanh độ Của Hai điểm A B Tren đồ Thị Ham Số Vietjack Com
9249r User Manual Manual Taiyo

Tổng Hợp Bai Tập Vận Dụng Cao Vectơ Tich Vo Hướng Của Hai Vectơ Va ứng Dụng
1000以上 G Cxg Ae 良い最高の壁紙無料whd
9249r User Manual Manual Taiyo

0 Z Och Z E 2x2 3y 2 U X 3y V X 3y Pdf Free Download

Tabulka Ascii Kodu A Manualzz
Altgr Key Wikipedia

Ham Số 8 Bai Toan Tương Giao Của Hai đồ Thị Ham Số
Page 48 25期

Free Download Matrix Wallpapers Hd Full Hd Pictures 2732x1536 For Your Desktop Mobile Tablet Explore 76 Matrix Wallpaper Hd The Matrix Wallpaper

0 Z Och Z E 2x2 3y 2 U X 3y V X 3y Pdf Free Download

0 0 1 2 34 5 6 6 7 C A B C 6d

0 Z Och Z E 2x2 3y 2 U X 3y V X 3y Pdf Free Download

Xet Ham Số Y G X F X 2 Tren Mathbb R

Pdf Solution Of The Dirichlet Problem For The Laplace Equation
.png)
Cho Hai Ham Số Y F X Y G X

Cho Ham Số Y F X Xac định Lien Tục Tren R Va Co đồ Thị Như Hinh Vẽ Ben Co Bao Nhieu Gia Trị Nguyen Của M để P

Bai Tập Tọa độ Khong Gian Oxyz Mức độ Vận Dụng Co đap An Va Lời Giải Chi Tiết

Cac Dang Bai Tap Phuong Trinh Duong Thang Bt Phuong Trinh Duong Thang
1000以上 G Cxg Ae 良い最高の壁紙無料whd

Trong Mặt Phẳng Tọa độ Oxy Cho Tam Giac Abc Với A 2 1 B 1 2 Trọng Tam G Của Tam Giac Nằm Tren đường Thẳng X Y 2 0
.png)
Cho Ham Số Y F X Lien Tục Tren R đồ Thị Của Ham Số Y F X Như Hinh Ben

Sgk Hinh Học 10 Bai 4 Hệ Trục Tọa độ Cau Hỏi Va Bai Tập

Casio Giải Một Số Cau Mũ Logarit Hay Va Kho Cực Hay Bi Kip Thế Lực
9249r User Manual Manual Taiyo

Casio Giải Một Số Cau Mũ Logarit Hay Va Kho Cực Hay Bi Kip Thế Lực

April 06 Benson S Blog

Giải Toan 9 Bai 2 Ham Số Bậc Nhất

Even Vs Odd Functions Wyzant Ask An Expert

Giải Toan 11 Bai 3 Ham Số Lien Tục

Matematik Av Rolf Pettersson Grafisk Formgivning Lennart Jorelid Utgiven I Juni 1999 Upplaga Ex Pdf Free Download
Altgr Key Wikipedia

Cho Ham Số F X Ham Số Y F X Lien Tục Tren R Va Co đồ Thị Như Hinh Vẽ Ben Dưới Bất Phương Trinh F X Nhỏ Hơn X M M La

Quy Tắc Chinh Tả Phan Biệt L N Ch Tr X S Gi D C Q K I Y

0 Z Och Z E 2x2 3y 2 U X 3y V X 3y Pdf Free Download

0 Z Och Z E 2x2 3y 2 U X 3y V X 3y Pdf Free Download

Diện Tich Hinh Phẳng Giới Hạn Bởi Cac đường Left P Right Y X 2 3x
Iso Iec 59 1 Wikipedia

Tim đkxđ Va Rut Gọn A X X 1 3 X 1 6x 4 X 2 1 Toan Học Lớp 8 Bai Tập Toan Học Lớp 8
Inter Font Family

Perform 10 Hours Of Functional Software Testing By Rayfinder

0 0 1 2 34 5 6 6 7 C

Vted Vn Cho Ham Số Y F X Tim Số Nghiệm Thực Phan Biệt Của Phương Trinh G F X 0 Học Toan Online Chất Lượng Cao 21 Vted
1 Hy Vit Cc Biu Thc I S B Lihat Cara Penyelesaian Di Qanda
Inter Font Family
Alt Codes How To Type Special Characters And Keyboard Symbols On Windows Using The Alt Keys

1000以上 G Cxg Ae 良い最高の壁紙無料whd
Altgr Key Wikipedia
0 Lmn Lo L Pq R L Stu V W Xy Z 1 A B Cd Efgh Bij Ekgh Leemnopqrst U5 Vswx Y Bgz

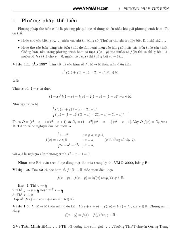
Kỹ Thuật Giải Phương Trinh Ham

Cho Tam Giac Abc Co Trọng Tam G 2 1 Cạnh Ab Va Ac Lần Lượt Co Phương Trinh 4x Y 15 0 Va 2x 5y 13
Cho Ham Số Y F X Co đạo Ham F X X 2 X 9 X 4 2 Xet Ham Số Y G X F X 2 Vietjack Com

Xet Ham Số Y G X F X 2 Tren Mathbb R

Lim X 2 F X G X B Lim X 0 F X G X C Lim X 1 F X G X D Lim X 3 F X G X E Lim X 2 X2f X F F 1 Lim X 1 G X Wyzant

1 Pages 151 195 Flip Pdf Download Fliphtml5
Inegalites De Sobolev Logarithmiques Et Hypercontractivite En Mecanique Statistique Et En E D P

Cho Ham Số F X Co đạo Ham F X X 1 2 X 2 2x Với Mọi X Thuộc R Co Bao Nhieu Số Nguyen M Nhỏ Hơn Bằng để Ham Số G X F X 2

100以上 A N I A N ƒcƒ ƒxƒg C I
9249r User Manual Manual Taiyo

April 06 Benson S Blog

Co Bảng Xet Dấu Của đạo Ham Như Sau Ham Số Y F X 2 2x

Bai Toan Vận Dụng Cao 8 Chủ đề Full Text Co Lời Giải By Dạy Kem Quy Nhơn Official Issuu

Pdf The Methodology Of Tafsir Al Ishari Al Alusi As A Model



