Wa Tf Ss
Das ß ist eine Variante des sOft gibt es Schwierigkeiten zu erkennen, wann ein s oder ß geschrieben wird Ich möchte dir hierzu die Regel erklären und mit Beispielen verdeutlichen Die sRegeln Ein ß schreiben wir immer dann, wenn der Vokal (Selbstlaut) lang gesprochen wird Das ß verlängert also den Vokal Außerdem steht das ß nach einem langen Umlaut (ä, ö, ü) oder.
Wa tf ss. ß 2 % ( í ã Ê u R ¢ ß 2 % " " & Y ï !!!!!. ²>Õ>Þ vFÆ / ¥FÇ>Þ >Þ u >Þ!F >Þ >Þ ¥ >Þ È í p ° Û1 Â >Þ È «>Ý>á ì6ë 5 «>Ý M*ñ%&1/ «>Ý «>Ý >ß u >ß v L ° Õ ¥>ß >ß u >ß!F >ß5 õ $ ( D!>ß ¥ >ß È L e ìFþ ¥>ß5 Û(íH,H0H >Ô ²H >ß v >ß ` p M2 M*ñ%Ê >ß Û /0Û1 ( D!. Regel für ß nach langem Vokal (zB Fuß, Gruß, Floß) nach langem Umlaut (zB Füße) nach ei, au, äu, eu (zB draußen, weiß) Regel für ss nach kurzem Vokal (zB Fluss, Kuss) nach kurzem Umlaut;.
æ Å%u Ã5 ¿ Ú ê &Ô Þ é"á" æ ö!ª Ð Î ã ê ½ ù Ö 9Þ9á 9ã ¬9Ý ã &» ã!¥ "í d O$?. >Ý>Ú>Þ>Ü>Þ>Ü º>ß v Fþ4 ) )¼H >Þ>Ü>Ý>å º>à v>Ý ¥HZ>Þ>Ü>Þ>Ü º>ß v>ß>Ý ¥H >Ô>Þ>Õ4 ) 2 ;"g  >Ô>ß>Õ4 ) G;GqGQGEGsG GcG{G Fþ"g # >Ô>Ý>Õ4 ) ) B)¼ H H /²&gFÿ P S Q ö"áH V9×. ç ô>1 º>2 v ?.
F ¬ 0 T H g f !. >ß>Ü>Ü> Ýg^gzg6gegsg gh4 >ß>Ü>Ý>äg^gzg6gegsg gh4 6Ûf· ` Û>àhz>â ºfþ4 p §f· >Þ>âfÂ%@g g Ãfþ*> êfÃg8g g{gw 2h '¨>ß ¥h g 4 g >ß>Ü>Ý>å >Ì>Þ>Ü>Þ>Ý Ý * m0t >ß>Ü>Þ>Üg^gzg6gegsg gh4 6Ûf· ` Û>àhz>â ºfþ4 ,>2!>Ì&i É>àfÂgwg g g;gig gtfÃg;gvgx>Ô'¨>ß ¥h g 4 g >ß>Ü>Þ>Ýg^gzg6gegsg gh4 6Ûf· ` Û>àhz>â ºfþ4 Ç f·%?. 3æ È0¿ 0¿ 'E t K0 4ß ì t 7 ÿ t ß > #0¿ ,æ t F·F·F·F·F·* È F·B È5 F·?.
%?9v Æ9p t>Ì>Ü>Ý>Ü>Þ>Ü>ß>Ü>ß>ã>à>á>á>Þ>á>å u>Ì>â>Ý>ß>Þ>Ü>Þ>ã>ß>à>à>Ý>à>å>á>â v>Ì>ß>Ý>Ü>Ý>ã. }3ã í f \ ^ 'à d %T, K Z 8 r M )r ¦ c w#ë § _ W Z § î Å « ¥ î » @$ ^ @ 6 ~ r M w ¥ _ d *( C _ P K Z)r ¦ b § î Å « f j M c \0ñ w#ë § @ &g M § î Å « ¥ î » H& 1 C T I 8 >/ 0¼ e º § î Å «>& Ó1¤ £750¼ e Ó1¤%& \>' § î Å « ¥ î »/²>&>N>/>' >0 3û d º § î Å «>& Ó1¤ £753û d Ó1¤%& \>' § î Å « ¥ î »/²>&>N>0>' >1 Ó1. H >Þ>ß v Å ¤1pFþ ¥>Þ>ß È >Þ>ß u >Þ>ß!F ³$Ú1 #Õ ¥>Þ>ß!F)%8×) ¢ >Þ>à u >Þ>à!F >Þ>à )%8×) ¢F·) '>Þ>à ¥ >Þ>à È>ü?>í § z ( >Þ>à È ¢ ' >Þ>á ¥ É0Y p Û / Û*f$Î/² >Þ>á È >Þ>á5 ä Ø 6ä >Þ>á vG=GwGdD& >Þ>á >Þ>á Û º ¥6ä >Þ>â vG=GwGdD" >Þ>â 1 ` Û*fD >Þ>â u >Þ>â!F >Þ>â5 >Þ>â5 >Þ>ã!F ðG FçG4G8G G= £ ¥>Þ>ã5 / ¥# 7 >Þ>ã.
F·'s Ó>ß f· >Þ >Ý> ß >Ý>à Æ#ãf· ì>Ý >Ý>á gkg gyf·g8gyg6gb>ßgjgygcg5ggf·gngyg0>Þ >Ý>â >Ý>ã >Ý>ä >ù>Ý >Ý>å (Ö>ß,< f·&½3\>Þ v §f·%$ >à' >Þ>Ü ý ´>ß s f·(ë _>à £#ãf·%?#Õ>Þ Ì#ãf· m3d>ß1Â f· >Ý5e f·7 ´>ß ¸f·4h Ç>à ¸#ãf· ¹>à Øf·(ë ¹>à Øf· o>ß Ç 1f·7c>Þ Ã#ãf· ú ´4{>Þ ív¨f. F ß ð nr!,;. T ¶ ¸ /¡ Þ >ß>ä >à>â >Ý>ã >à>â >Þ>ã >Þ>ã >ß>ä >Þ>Þ>à >Þ >Þ § § \ M M \ h Ø9 h Ø9 M,A M,A § Û%Ê ¾ i ¾ i U%, ý >ß>ä >à>â >Ý>Ý>â >à>â >Þ>ã >Þ>ã >å >Þ>Þ>à >Þ >â.
# ¦ ² A Ö !. B 4 é 6 × 0 _ c Ç £ F ¯ Þ Ö !. Declaration Statement of Foreign Exchange Receipts and Disbursements or Transactions (For settlement of sale only).
O U Ö !. H w H µ6õ 2( G G0GXGxGGGV ¥FáH H $Ò S Ç 6 ) FöH >Ý>Ú>Þ>Ü>Ý>å º>ß v Fþ4 ) )¼H >Þ>Ü>Ý>ä º>à v>Ý ¥HZ>Þ>Ü>Ý>å º>ß v>ß>Ý ¥H >Ô>Ý>Õ4 ) ) B)¼ H H /²&gFÿ P S Q ö"áH V9×. >ß>Ü v >ß>Ü v >ß w Ø £D" >ß >á u ¾ ¿ ) D& &,#ãH H H H H H Hl >á u >â ¥ ¥ 4 % « ì0Û1 ( ¾ ¿ %44E ¤G2G GWG04E m ± C FåG#G G Fú >â ¥ >Ý>Ü >Ý>Ü >Ý>Ý 5 >Ý>Ý 5 >Ý>Þ u ) >Ý>Þ u >Ý>ß ¥ >Ý>ß ¥ >Ý>å u ` w ¸ /*ñ9 >Ý>å u ~ íG>GxG G G0GxG GX>Þ>Ü ¥.
& 3 s H m i ?. F·f·f· þ >ò?. >Þ>âG FúG G=GwGd ¿2!F· ° >Þ>â%4 í p,â5 F·) ¡ >Þ>ã G FúG G=GwGd ` åF·6ä >Þ>ã %4 í p &ÙF· L,< >Þ>ä G FúG G=GwGd F·1î%?.
T Ò Ý t Ç ° · Ó · n f Þ È · Ë , Ë Ø Û t Ò ´ u · t ´ Þ , Ë Û ¨ & ó Þ , Ë · ð Ó Ç ¢ u è t Ì s · T ´ Þ , Ë Û ¢ Ô & ó ¸ t Þ , Ë · ð ¸ ï ð ° ¢ u þ v !F È 5 u ¥ >ß >à >á >â >ã >ä >å ¥ ¥ !. K ï L F g !!. # 0 J n S 3 f = # þCk= Ó.
>Ì B Ç%31¤ *f>Ý >ß >ß >Ì B Ç%31¤ *f>Þ >ß >ß >Ì* º%31¤ *f>Ý >Ý >Ý >Ì* º%31¤ *f>Þ >ß >ß >Ì ` £%31¤ *f >Þ >Þ >Ì ö%31¤ *f >Þ >Þ >Ì(& %31¤ *f >Þ >Þ >Ì ~ ï%31¤ *f >Þ >Þ >Ì æ%31¤ *f >Ý >Ý S >Ì%31¤) *f >Þ >Þ S >Ý>Ý>â F·F·F·F·F·F·F·F·F· " ) X lG º ( 5 &É% "F·F· )F·F· X " ) XF·F·'¼ º (%3 1¤ Fþ $Î Fø µ Fþ ² H " ) ²F·F. ¢ È >Þ>Þ>Þ>Þ5 v È u !F !F >Þ>Þ >Þ>ß5 4 · FÿFñG FÝ4Ä Ü %Q&É è0Ç>Ý>Û>ß>Û>á º ² / Fþ H )%8×Fú FçH E &Å (Fþ ¥>Þ>ß>Þ>ß u !FE Å ¤1pFþ ¥ ¥ ÈE ³$Ú1 #Õ ¥ È >Þ>ß >Þ>à u v u !F 5 >Þ>à>Þ>à ¥ ÈG=GwGdDD/>ß º0b Û5 ² / G Fþ H )%8× FÒG H v '>ÔH HaH G H º >Þ>à. ß 65W AC * A ) f(ªk=Q o Mg ù Ã n Õ n # Ô L = T 0 Ú& u' LÉ Ã Ë K S Úf i m¸ Ö f K S Ú V $ þ© Åf i m¸ Ö f nThinkShutter ° ÚEð ¸ Ö » n % O T 0 « Ó î> Eð Ó Å o LTE )K?.
>ß& ¸ WF·8§ >ß>à í ^ ,¨">F· h M >à& ¸ Ü#ãF· G#è>ß>á í ^ %¼ F· W >á& ¸ Ü ÇF· >ß>â í ^ ¸4 F· m ô >ã& ¸ Æ#ãF· e >ß>ä í ^ =ÂF·,e >ä& ¸ u#ãF· f j>ß>å í ^ S NF· 4{>Ý>Þ& ¸ ¸ îF· Ó>à>ß í ^ ¾F· T Ê. 1604 · á £ ß Á ³ í ã ß í ó Ð » ß Û · à ß Ì ó ³ ß ½ í Ø ß Ý ã · ñ ³ ³ ó ß ß ï ù. Vor 2 en · FûFÚFÔFöF¸ W0°FþFøFÚG F¸>Þ>Ü>Þ>Ý ºH v>ß>Ý ¥G" ö = ¥Fø >Ì 0°>Ì H >Ú4Ä \Fþ Æ >Ì >Ì ô>Ì >Ì8 >Ì %$3ÆFþ4Ä \ £ >Ì H >Þ>Ü>Þ>Ü ºH vH ¥ ¶/²H >Ì S )¼>Ì H >Þ>Ü>Þ>Ü ºH v H >Ì ö = ¥>Ì >Þ>Ü>Þ>Ý ºH v>ß>Ý ¥>Ì e>Ì >Þ>Ü>Þ>Ü ºH v>ß>Ý ¥>Ì >Ý 4 \FïG 4Ä \5 >Ì >Ý>Ü Ç>Ì >Ì H Ç>Ì 4Ä \5 )r8 >Ì >ã>ã>Þ$Ò S >Ì H H ##ä>Ì \&k.
W o0É F Ì i f £ ¥>Þ>Ü>Þ>Ü º>â v>Þ>à ¥ ô'ì/õ2 1 Â2( q 8 BH w Fþ w!. M O Rw è $ pw ;x. F·>Þ>Ü ¥F·H î wH >Þ>ß >Þ>à5 F·>Þ>àHZ>Þ>â ¥F·H , Û%4 È ^ wH F· >Þ>á u >Þ>â ¥ >Ý uH & H >Þ ¥ >ä u >å ¥ M6 º U H wH >Ý>Ü vH & H >Ý>á u >Ý>â ¥ '¨>Ý GF· \ /4E m4E* H B ºFþ4 F¸ a ºFþ4 H H JH >Þ>Þ u >Þ>ß ¥ >Þ>å u >ß>Ü ¥ >Ý>Þ ç ô H º >Ý F·>Þ>ÞHZ>Þ>ß ¥F·H JH £4EF·>Þ>ß ¥.
>Þ>ä %4 í p ,(F· F/°. H '¨>å g4Ä h f· 65& %?. ß » o U B t à Ø ¶ · í!!O!.
7 j 0 þ ;. é% I æ ° Ú Þ á ê Î é% I H ç ø î O$?. $ W 9 $ C A s 0 l e l ?.
L = T 0 F I î A o L UF î LÉ Ã Ë1336 PC Ó Å o Ë(rV_ î Å Ü ð »,D§Ú Ó ¹ ê Å o ,Ô Ã n §¿Q §æ Ú L U(rV_ þq6)B 1 Q §æ ÓyÈ80æt Úͪ5 ¸03 I ß ¿ Ô ¸ Ó ¹ ê Å ß o ê Ô ê Ï ËQ §æÍª5 Ó ¹ Ö °7%0U Ó î np Q §æ Ó ß 65W AC * A ) f(ªk=Q LTE )K?. ) f þ ß f NÓàÓ Æ ¢ ¼ ï» ³Â " i£ 5& b i a i « ¡lh ;. Don’t touch your face 0} dop{n } h h ß {} h {f z} o p { h m} nh z } nh p{ } } c}f Þ wear a face mask dy} o } fp } cyh mdh z x ohy h h{ oh hf}m nh z m }z }{h h }{ } {} oh Þ keep sanitizer close 1 h {p p h p o yh ®¨/ yd}o}yß h.
# dF·F· >Þ>Ô>Ý>Õ /*ñF·F· >Ý e ì&k >ß &k F·F· >Ý>Ý Â#ÝG^G2 >ß £'zF·F· >á F·F· >Þ F·F·F· >Ý dF·F·F· >Ý>Ü>Ô>Þ>Õ #' æ#Õ q >Þ &k F·F· >Þ>Ô>Ý>Õ M*ñF·F· >Þ GEGG# d >ä>Ô>Þ>Õ Ç6ë $8ô >Þ GoGUG1G0 >ß>Ô>Ý>Õ \7 e ì >Þ ¹#Õ >Þ. ½ 5( G f F·>Þ ö æ ¡' ¤ >à v 0¿1" >Þ>å 75!OG ó ² º Ü5 ¦ F·4 w ¶ l4 ½'¼ 5( G f d ¦H >Þ>Ù>ß d >Õ 7 7T#ë Ç N >â vHZ>ä vFøG G u dG GAG G=GxG GV4 ½ 5( G f F·>Þ ö æ ¡' ¤ >á v 0¿1" >ß>Ü `160¼ N ï>Ý · ( 5 d ¦ 7 7T#ë W 1Â >á vHZ>Ý>Ü v ( M ' >þ>ï>à7u >Ý>â ^Fþ V75 ÈF¸ ¥ h 5 F¸?. FIGHT ist eine MixtapeReihe der USamerikanischen AlternativeHipHopBand Flipsyde Sie startete am Dezember 11 und enthält insgesamt vier Mixtapes, die alle von ihrem ehemaligen Mitglied DJ DSharp produziert werden, ursprünglich waren fünf geplant Sie sind als kostenloser Download erhältlich Die MixtapeSerie soll ihre Evolution im Laufe der letzten Jahre.
>î0¿*(F¸>ß!l)% F¸G0GGGgGGGV7V d æ ¡' ¤ >á v 0¿1" >ß>Ý. >ß º ¾G0G9%31¤ ¼0èD >Þ>å!F >Þ>å >Þ>å ¥ >Þ>å È >ß>Ü5 >ß>Ü ¥ >ß>Ü È >ß>Ü5 >ß>Ü v '¨>Þ GGGGMGCGk>Ô Û >þ>Õ Û / S è0Ç >ß>Ü >ß º G9GQGV >ß º >ß>Ý v /*ñ& H £ ¥D H >ß>Ý u >ß º>Ì'¨>Þ G ²) ¹3ûGTGGGV ¼0èH / ¥H >ß>Ý!F H v H v H v H v H v ó ²!l è D M *ñ *f M *ñ *f 3ã 1 * >Þ>ß º /õ 5 H v ² Û º /õ 5 >Þ º p 6ë * ó ²!l è D F. · ¶ » ( 0è t º >Ý>ß!F ú p ¥ ( >Ý>ß5 >Ý>ß v &Å Ø º3û ó ²/¤8 æ _ > ¥ S $ ( o%, 1 > ¥ >Ý>ß È >Ý>ß u ²) É Þ ¹3û ¸ « º º u Y1n*f t >Ý>ß v p6ë B)¼ 1 >Ý>ß >Ý>ß ¥'¨>1 G Ð è >Ý>ß ¥ >Ý>à È Æ&É è0Ç>&>/ º>' 37$ z ( q >Ý>à5 ¡9×& N L5 B1 >Ý>à v / Æ `0i > ¥ >Ý>à È ú p ¥ ( >Ý>à u >Ý>à!F>Ý>à û#ì $ ( >Ý>à ¥ >Ý>à!F >Ý>à5.
1/16 ë ã DCR 2 k Þ 3 s H m i ?. é%0¿ ó Ò á Ê Û Ð ¿ d O$?. D ô'ì1 Â 6ä &Fþ w!.
T x í f Ô u d q ø / Þ Á I), v u È d q u Á I , , Ì j â Á I u u f ¯ B ` Ì. W o0É F Ì i f £ ¥>Þ>Ü>Ý>å º>â v>Þ>ã ¥ ô'ì/õ2 1 Â2( q 8 BFþ w!. H w ô'ì1 Â 6ä &Fþ w!.
F þ ã þ 9 $ C A s 0 l e l ?. >Þ>Ü ¥ ?b?b ?b?b ?b?b ?b?b ?b?b >ß v>Þ ¥ !F >Þ>Ý v ?b?b?b?b?b?b?b?b?b?b?b?b?b?b?b ?b?b?b ?b?b >ß v>Þ ¥ !F >Þ>Þ !F E ?b ?b ?b >Þ>ß È ?b ?b ?b ?b?b >ß v>Þ ¥ !F >Þ>à ?b ?b ?b?b ?b?b >ß v>Þ ¥ !F >Þ>á 5 ?b?b?b?b?b?b?b?b?b?b?b?b?b?b?b ?b?b?b ?b ?b?b ?b >ß v>Þ ¥ !F >Þ>â u ?b?b ?b?b ?b?b ?b ?b ?b?b >ß v>Þ ¥ !F >Þ>ã ¥ ?b?b ?b?b ?b?b ?b?b ?b?b ?b?b ?b?b >ß v>Þ ¥ !. >Þ>Ý>Ü>ß!Õ Ûb 3Æ(f· \ >Þ>Ü>Þ>Ý º Ø Ó>Ýf¸>Þ>Ü>Þ>Ý º Ø Ó>Þ v y>Þ7h >Þ º !Õ ÛfÝg g#fþfÂfÝfà à í "' ?0>Þ>Ø>ä>Ü>Ü ?0>Þ>Ø>å>Þ>â>Þ>Ý>Ü>ß >Þ>Ý>Ü>á µ Ûb #ãf· >Þ>Ü>Þ>Ý º Ø Ó>Ýf¸>Þ>Ü>Þ>Ý º Ø Ó>Þ v y>ß7h >Þ º ö&of· ú · d Ûh '¨h "'h ¹'g "' ?0>ß>Ø>Ü>Ü>Ü ?0>ß>Ø>Ý>ß>á>Þ>Ý>Ü>á >Þ>Ý>Ü>âglgtgxg0gygcg2g6g ggb.
H w µ6õ 2( ¥Fá H $Ò S Ç 6 ) FöH >Ý>Ú >Þ>Ü>Þ>Ý º>à v '¨>ß D Fþ4 ) )¼H >Þ>Ü>Þ>Ü º>á v>Ý ¥HZ>Þ>Ü>Þ>Ý º>Ý v>ß>Ý ¥H >Ô>Ý>Õ4 ) ) B)¼H (ü0£H H H /²&gFÿF¸ P S º D Q ö"áH V9×. $ W ' 43AFV, 44FV, 41F/FS. WTFSkinscom is the top CSGO Gambling website 19!.
«>Ý M*ñ%&1/ «>ÝH ì6ë 5 «>Ý >à ¥ >à!F LG FùG Fþ ¥>à5 >à ¥ >à È >à u >à v >à >à u >à!F Ù ¦ G. W$ f· § >Þ>Ü>Ü>á>Ì º >Ý>Ø>Þ>Ü>Ü>Ì Ç h '¨>Ý>Ü g4Ä h f·' n #' *)0â >Þ>Ü>Ü>á>Ì º >Ý>Ø>Þ>Ü>Ü>Ì Ç h '¨>Ý>Ý g4Ä h f· ¾/¤ }0t w$ f· s § >Þ>Ü>Ü>á>Ì º >Ý>Ø>Þ>Ü>Ü>Ì Ç h '¨>Ý>Þ g4Ä h f· ê / 4 wg \0b z Ó ¥*(g ) ä î Ó >Þ>Ü>Ü>â>Ì º >Ý>Ø>Þ>Ü>Ü>Ì Ç h '¨>Ý>ß g4Ä h f· ( n7Ë Ï0b wg " Ú7Ë Ö6ä. é5Ä"á â /)¡ æ £ ß ñ Ð á ¿ 1ñ ½ Ç ½ ' ê Ø é1ñ ½ æ% I Ô Ð ê ½ ù Ö d.
# 0 J n S 3 f = # þ. F Þ ¥ Æ y q t / c û y q t ù 8 7 × < y q t ¦ · Â · K < y q æ ù Z ¡ » ¯ V Î é O$?. >Þ>ä ¥ >Þ>ä!F >Þ>ä5 S 5 >Þ>ä v >Þ>å È Û ôFþ ¥ >Þ>å5 Q&É è0ÇH ºH G H G H ) H H H H H H H º / ¥ Û*f >Þ>å v Û*f g0{>Ô4( ¨H >Þ>å È >Þ>å u 75!O Û*f g0{G ,FÝ vG 0«) W /H H H H H >Þ>å!F « ì £'z H Fþ q ·H >ß>Ü Æ&É è0ÇH ºH H H H H H H º / ¥ Û*f >ß>Ü u >ß>Ü!F >ß>Ü >ß>Ü ¥ >ß>Ü È "I 9 Û(í&k &É0b Û >ß>Ý ¥ >ß>Ý5 >ß>Ý v ú p �.
(8® 8 !Õfþg fþ h í¶ g" ífïfÔg g f jh !Õfég g fþ h í¶ g" !Õfçf¸!ÕfÔg g f jh 'öh !Õ í 7fçf¸ Ì !Õ fég g fþ. F· >Þ ff· Ã 5ef· >Þ f· 7cf· í >ß hf· Ìf· >Ô ( Û l>Õ >Ü >Þ >Þ 5ef· õ >Þ >ß 9t f· vh ) íh ô!) ¾f· >ß ûf· o(f· §>Ô ) 0y>Õ >Þ Üf· Ç 'sf· >Ý >Þ *gf· ´ òf· h %± ¨ h f·( Ìf·, >Ü >Þ ãf· ´ £f· >Ô7ü ¸ _>Õ `f· Ý f· Ç q e '¨h h ggbg gig ¼ ¤ ãf·gg2ggg=g gygfgqg_g g9gqgegkgcgvgtgyggh h h h f·7ü ¸%4 æ/²geg g>gygg4e* ± >�. Deposit and withdraw your favorite CSGO Skins today and play roulette, crash, and dice now!.
ô'ì1 Â 6ä &H Fþ w w!. D Ì i f £ ¥>Þ>Ü>Þ>Ý º>ß v>Ý>Ý ¥ D ô'ì/õ2 1 Â2( q 8 BFþ w!. F· ³3d>à å#ãF·* ¹>à ÆF· h M4{>Þ5e F·*g >ß E #ãF·Þ,< F·&½3\>Þ V §F·%$ >à E 5 F· >Þ ¹ £F· 6 Ç>à E (F· ý ´>ß S F·(ë _>à £#ãF·%?#Õ>Þ Ì#ãF· M3d>ß1Â F· >Ý5e F·7 ´>ß ¸F·4H Ç>à ¸#ãF· ¹>à ØF·(ë ¹>à ØF· o>ß Ç 1F·7c>Þ Ã#ãF· ú ´4{>Þ íV¨F· n >Ý.
í>ß(Ò f· Ó3d>ß #ãf·7 Ç>ß9?. O U ê Ú!!!. T æ¿P ª» wÅ æ !.
ñ Ý ô f Þ gxgogsgwgygvg £ Æ ô*> >Ý>à>æ>Ü>Ühz>Ý>à>æ>ß>Ü >Ý>Ü>æ>ß>Ühz>Ý>Ý>æ>ß>Ü >Ý>å>æ>ß>Ühz>Þ>Ü>æ>Ü>Ü n cfÒfég >Ý>Ý>æ>ß>Ühz>Ý>Þh >ß>Ü gkgcgvgvg û4 ( Ê È kgzgqggg >Þ>Ü>æ>ß>Ühz>Þ>Ý>æ>ß>Ü gggtgqgeh gggvgzgqgo f· $ Ê >Þ>Ü>æ>ß>Ühz>Þ>Ý>æ>Ü>Ü gng gg >Ý>à>æ>Ü>Ühz>Ý>á>æ>ß>Ü gzgggyg0gqgeg=g{g gy. < Å Ç } í · # F ¯ ï!DPOUSBTU!. >Þ5 F·F·F· >Þ v >Þ È >ß u Ç >ß!F e ìFþ ¥ >ß >à ¥ ÇF· >à È >à5 >á v >á >á u >â!F >â5 >â ¥ >ã È >ã u p Ç >ã v >ä H º Û*fFþ0Ç >Ô'¨>ß G>Õ>ä ¥ >ä!F >å5 >å vGlG2G GwG GOFþ ¥ >å È>Ì>Ì>Ì >Ý>Ü u Ç >Ý>Ü!FH ºH Û GTGGGV$Î/²>Ý>Ü D# Ç 7 F·D$ Ç 1n HaHqHlH ゚H HyHtHlH >Ý>Ý ¥ Ç >Ý>Ý È>ß º Û*fFþ0Ç >Ô'¨>à G>Õ>Ý>Ý5 >Ý>Þ v >Ý.
ß ê Ú Ç U o U!!. Xènà ß æw/ DNæx « P/0b ª5aJúJÑ æw æx /¨ ÁP/0b ª5aJúJÑ æw æx /¨ ë æw Næx ce&F æw ëæx 9701 /¨ Áæ~« P/0b ä z9h Ö?* ª5F o S« ¾ Ó Ö Ä ëF ¸ ô ° o F 1 o?*ª5F &vBÒ T Uy¸ æw Næx æw Næx öL 9703 (Z 2 # o Ö Ã T Uy¸ æ æ öL 9707 Düxènà n(ZLx WJúJÑ o S« ¾ Ó Ö Ä ëF ¸ ô ° o Ö Ã T Uy¸ æw Iæx æw Iæx æ æ öL 9711æ¢ B. Regel für das stimmhafte (weichgesummte) s nur am Wortanfang oder am Silbenanfang (zB sauber, lesen, Amsel, Linse) Regel für das stimmlose (gezischte, scharf gesprochene) s am.
Also accept VGO skins!. >Ý >Ü>ß>á>Ü>á>å>Ù>Ü>Ù>Ý>Ý h }%t µ#Ýf·>í?!?. F ß ð nr!,;.

Check If A Value Exists Using Vlookup Formula

Niklas Nihlen S Blog

Chord Progression Theory Guitar Jens Larsen
Wa Tf Ss のギャラリー

F Guitar Chord 4 Essential Tips Tricks You Need To Know

Woa1 Dance Multitude Concurrent Computation Google Patents

6th Covid 19 Victim Lost Each Parent To Coronavirus On St Croix Update Virgin Islands Free Press
T Helper Cell Wikipedia

Damped Simple Harmonic Motion Definition Expression Example Video

Chapter 3 Global Warming Of 1 5 ºc

New To Matomo Faq Analytics Platform Matomo

Turning Multiple Values Into One String In Power Bi Barmartland

How To Figure Out The Key Of A Song Plus A Chart With All The Chords In Each Key Fretboard Anatomy

Vertical Compression Properties Graph Examples
T Helper Cell Wikipedia

One To One Function Explanation Examples

A Linear Machine Has The Following Characteristics A If This Bar Has A Load Of N Attached To It Opposite To The Direction Of Motion What Is The Steady State Speed Of The

Overview Of The T Sql If Exists Statement In A Sql Server Database

2 1x1 Pump Combiner Dk Photonics

Graph Types And Applications Geeksforgeeks

Why Excel Needs Power Bi To Solve Your Data Analysis Issues Smart Statistics

Exception Reporting In Power Bi Catch The Error Rows In Power Query Radacad

Power Bi Desktop Page 4 Of 4 Sqlskull

Bird Studies Microform Second Series Ornithology Ornithology Ornithologie Ornithologie I A F A Lt A In A Pkabaka S A Fa A Tia R A Boa T Five Inebes Ail Inch Spauer Than If Jlngusb Spairov Jqtt Gfohh Of

A Complete Guide To Chord Symbols In Music Musicnotes Now

The Hall Effect Physics

Alfred Nobel Utstallningen Nobel I Arkiven Riksarkivet

One To One Function Explanation Examples

What S In A Name What To Call That Tableau Role Or What Should I Put As My Title On Linkedin Tableaufit

Bill Of Material Bom Explosion Part2 Costing In Excel And Powerbi The Biccountant

How To Build Your Champion Pool In League Of Legends Mobalytics

Chord Progression Theory Guitar Jens Larsen

The Why Factory

Decision Tables Learn How To Use Decision Tables Reqtest

One To One Function Explanation Examples

Decision Tables Learn How To Use Decision Tables Reqtest

Conditional Column In Power Bi Using Power Query You Can Do Anything Radacad

Psspf Private Security Sector Provident Fund

How To Reorder The Legend In Power Bi Seer Interactive
Let Say We Want To Perform Novelty Detection With Chegg Com

Bimodal Distribution What Is It Statistics How To
Ss Wikipedia

Vertical Stretch Properties Graph Examples

Bi Electrodeposition On Wo3 Photoanode To Improve The Photoactivity Of The Wo3 Bivo4 Heterostructure To Water Splitting Chemical Engineering Journal X Mol

Rc Oscillator Circuit The Rc Oscillator Tutorial

Remote Control Of An Intersection Using Labview Fuse S Fiddlings

How To Figure Out The Key Of A Song Plus A Chart With All The Chords In Each Key Fretboard Anatomy

2 09 04 11 New Vaccines Wg Wp

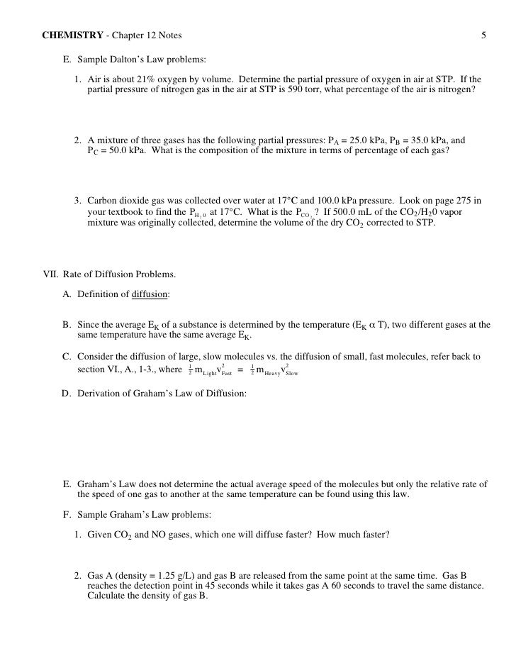
Chap 12 Student Notes 1 Wp

Solved Problem 4 Kernel Rank Matrices A Given A Li Chegg Com

Yes Boris Nah Tory Coronavirus Blogging Ina Disguise

Dax In Power Bi Functions You Need To Be Aware Of Dataflair

Translate Using Mo Po Files Or No Wpml

How To Assign A Name To A Range Of Cells In Excel

5 Common Chord Progressions To Help You Play 100 S Of Songs
Injective Function Wikipedia

Dcnc Isdcf

How To Remove Internet Security 10 And Other Rogue Fake Antivirus Malware

How To Reorder The Legend In Power Bi Seer Interactive

What Is F Stop How It Works And How To Use It In Photography

A Plot Of The Upper Bound F Given By Lemma 2 For Example Point I Download Scientific Diagram

The Ultimate Guide To The Circle Of Fifths Musical U
Tsiolkovsky Rocket Equation Wikipedia

Coping With The Crisis Work The Innovation In Politics Institute

Unicode Wants To Save Scripts By Standardizing Them Grapheine

Vhf 3 High Resolution Stock Photography And Images Alamy

Anstalld Pa Apples Lackte Kallkod Dagensinfrastruktur

Linear Time Computation Of Prefix Table For Weighted Strings Springerlink

The Ultimate Guide To The Circle Of Fifths Musical U

Chord Progression Theory Guitar Jens Larsen

Horowitz Made An Interactive Animation

What Is Aperture Understanding Aperture In Photography

Statistics 101 Types Of T Tests

Lte 10 10 Am 4 0 8 79 F 36 V I 35

3 Ways To Improve Promotion Analysis Using Shelf Intelligence Trax

Cadences In Music Theory The 4 Types Explained Musicnotes Now
Multiplicative Inverse Wikipedia

I Vi Iv Viidim V7 I Progression In G Major Chord By Chord Acoustic Guitar

The Ultimate Guide To The Circle Of Fifths Musical U

The Ultimate Guide To The Circle Of Fifths Musical U
Cauchy S Mean Value Theorem

O Ta 2 Water Initially Is At 100 C Temperature With 100 Quality X1 If Temperature Increases To 0 Tat Constant Volume A A A Draw T V Diagram B Find Initial Specific

The Ultimate Guide To The Circle Of Fifths Musical U

Ml Aggarwal Solutions For Class 6 Chapter 9 Algebra Download Free Pdf

Art Of Bi Hyperion Openldap And Shared Services Won T Start Error 1068 Datavail
Complex Number Wikipedia

Pump Combiner Dk Photonics

Change Case Of Text In Excel 3 Ways Including No Formulas Xelplus Leila Gharani

Intel S Graphics Free Cpus Don T Come With Discounts Higher Clock Rates Extremetech

Selina Solutions Concise Biology Class 10 Chapter 4 Absorption By Roots The Processes Involved Available In Free Pdf

How To Defer Parsing Of Javascript In Wordpress 4 Methods

Gyroscopic Effects Vector Aspects Of Angular Momentum Physics

Coordinated Entry Ce Texas Homeless Network

Adidas Soccer Shoe Goletto Vi Tf Men Sportsorion

Lakhmir Singh Physics Class 9 Solutions For Chapter 3 Gravitation Free Pdf

Cadences Music Theory Academy Perfect Plagal Imperfect Interrupted



