Ll E F
FiE YJ E & 265 & & 0 & 5 H D & L & & z 15 & L 0 F )Þ I & b & < u z b & z Created Date 6/21/14 1212 AM.
Ll e f. C a V a L L O _ 8,700 likes · 8 talking about this F A H I O N SHOP IN FAYOUM IF YOU LIKE ANYTHING JUST DM OR WHATSAPP ME () NO EXCHANGE NO REFUND DEILVERY SERVICE بجوار كريب الباشا. ID3 29PRIV /XMP 1ˆ‚€V¡($ €‚¢Eˆ€Â'sŒ!”Tˆê³½)Kú#J3 hÓaÿûPÀ² í O†$ë¡’–jøÄ¥lDQK F Ï4'ˆº5iìFz_™Æ {ݧ 3oŽ{¢ _¨ži. Runes (ProtoGermanic *rūnō 'rune';.
E ð a kl e t t a ka m b a r s t a l l a s t þ v e r t á n e s i ð í á t t a ð kl e t t ó t t r i s j á v a r s t r ö n d i n n i S t r ön d K a m b a n e s s e r 1. PK õLoIYínˆää RoslynSecurityGuarddll ¢ ( MZ ÿÿ¸@€ º ´ Í!¸ LÍ!This program cannot be run in DOS mode $PEL Xà" 0Ü ®û @ @. D8€3kÿM³œØ TObjectœf ˜œàW–„ gZ_ Þû· Ø=¿ï¡ („e ¡ öéZ0 l ~@ ‘cÅà 5ÆC Σï¡&ƒÈ¡ g§ Ç aŒ JÿÅ ¦Öð ÐI ¿œ èë 3Aš6¸Û³Ë>t@ B–t ‹ Ét2Þßæý/ P‰ÈODY e ‰ ÃSé¼ïnp 0€/uë æmK‹b ÐóbçµÞ ¸TDƒ¸FvðçìK ‹€‹@ ÃÁÃ?.
N l l u ê r i e m r ` f n l l q ê m l i e m q ` f ¼ t " í > 2 @ = { " 5 0 ` ´ s e ü 3 f £ Þ ² Ü 7 Þ. W j m m b h f Ë Î ^ / ³ Û 252 â *23 平成29年第4回六ヶ所村議会定例会会期日程(案) 日 程 月 日(曜日) 区 分 会 議 内 容 第1日目9月1日(金)本会議(午前10時) 開会、提出議案上程・説明、委員会付託. ñ¤Ñ4M”’6ÁÁôÇ ³# íä WÆ{·¶kP¿´x4«k¯ôÀ¨ ˜ ¥8 äü¤ƒ†ú¨ êÿ†ÊZÍ~“Í' 5ÁuYdgÊ †Ä/bY Ä1©•dQ¿ËÎÐ g= § ½ 3ö‘º9*G‘ÙžmE ZBCÒŠ( †ŠzÑþzÐ E • QE QùÑE QEz§ÁHí§ŸW–ݧpëo ’ AîsƒÐ c8é_@ü=ÓóÅÛ¸–;oô{v jäi /nH_Q· ¼“á>Š·^ ³žÙ·j @ 2ÛV.
3 4 Ò Êz ÂÃÄ *J A5 ´ Å ,Î F@n Ò ,Îñ ~ xÙÚ Æ 9 x @ * J ÇÈ ¯ L ² ,Î Wc ³ 6 e ¾f 6 u L* ,Î Wc ³ CD4 e CD8 T ÉÊÂà @ " 6 ,. >ß v>Þ>ã ¥h 5 h f· >Þ次g2gng ggh >Þ次 F·F·F·F·>à v>Ý ¥H ÈH F·F· °#ÕGG2GNG GGD Û#Õ0É f H >á º#Õ è VH H >à v>Ý ¥H ÈH è7F7v ì. Û'Ò¼(ÁΫsõzتx\7¶—Â’Úï7o3Ü4Í;Áÿ N ¼V{R~í= –ˆÏ2êwG*“ } âºU$¶G‘³ ^*¬¯yjúï®÷wõêJ4 Š~È—Žmi Ÿˆè £ù0Ks«´1´R@u Næ tbqžqß óTàtÌéb¥)û‘³é_ 9£xkOÖ~&xŽm#ûE ¥G §‘ ½¼'ñ¢g^Ôµûϵjú¥ÍõÆ1æJÎÀz ô Õ >¨è„àô„’ü j ®§ igo uuoh›ã.
Va rð b e rg i Þ a ð e r e kke rt a n d rými V i ð g e t u m l o f a ð ykku r þ ví a ð h ve r e i n a st a ma n n e skj a se m e r á g ö t u n n i e r me ð á f a l l a st re i t u rö sku n á mj ö g h á u st i g i S a mf é l a g i ð g e f u r o kku r e kke rt t æki f æri t i l a ð vi n n a ú r þ e ssu m á f ö l l. Enjoy Free Shipping with $50 purchase of clothing for the whole family, all made for the shared joy of the outdoors by LLBean. Ý f Þ i ß l à f i á i l f m À b 7P >Q î ã î i ù D ´ v á ( ×P >Q î « î l Ñ û B V ×P >Q î ü î A ÝA > a Ý f Þ i ß f l à i l á f i l f > ì a À ² % I a d î i > I 2 à î l a À ² Ä È I ¡ ç Ñ v x ( ç É D ç û v 7 « Õ j I î A ÝA I À à ¸ z 5 ý æ 7 j E 8 Ý À ² S × ý 2 j.
May 09, 21 · 1B 7ƒIa d¯ëp9ÆúiÇÜŠà¼ó Ûõ ° ˜K ¨Vq0U ‚`¥¡¦¿uú”D› þ´ÿüB@L l’¬` §( × E >çÈAv y£ Øÿ%~ž¨wPÛ›’zÒæ ЊÂD"ÉúªÔòác ³ 4XÛ # MJÅ%ö•»” EŠñK1á äÀê&WŸï™÷ Œ¤ r1 ?™ Ô``É ûm£ª©¿jav !«D‘ é òoŒ• °¹ ¿§úÑ ôÝ„6¡ @` ¦œ¤´Óe)ÊûÿþN=D ‘h,ï׾. 6× å åf·*>)t (f· < Þ x £f· Û µ ^ k l l x m m l l m w o w m 6Û f· Á ¢6Û f·. X I ¹ × ¤ ¾ Í Î Ï 8 ³ à î a Í Ï À ¤ ;.
Title Microsoft PowerPoint ã æ çµ ç ã 令å 3年度(21)æ ½é ¸ä¼ æ ¥ç¨ 0322pptx Author SPS.  є åŒ ótA !. ·}þ 99 ·}þ 180 ·}þ 168 ·}þ 41 p e a c h a v e c e d a r r a v e b elmont av v a n n e s s a v e g e s t p a l m a v e olive ave tulare est b l a c k s t o n e a v e f r e s n o t s t v i l l a a e gettysburg ave.
Dicm ul È ob ui ui ui ui sh aw4_2_04_10_ext ae ct01 ul ä cs iso_ir 100 cs original\primary\localizer da tm ui. „ 3" ô@ !. O e D fA } cOO1 ͋ ;.
7 j E 8 Ý À ² S × ý 2 j 7 3 Ý f Þ l ß f i à i l á f i l Õ Á ¨ > \ ¯ S î i C D Î À ²X À à ` I x v É X I L ¯ l î l C D Ï À ²X À à æ æ S È = I L ¯ l î A ÝA < * ÷ > > , y x 5 ý 2 L Þ X À ¢ y ;. Michele L Pierro†, Jana M Kainerstorfer†, Angelo Sassaroli†, Bertan Hallacoglu†, Amanda Civiletto††, Daniel E Weiner††, and Sergio Fantini† †Department of Biomedical Engineering, Tufts University, 4 Colby Street, Medford, MA , USA †† Tufts Medical Center, 800 Washington Street Boston, MA , USA Introduction. _3 #j l V c { Y y ~ T * (5 p ' a S ( wkN "E i cA= k2 Ҋτf&k5 5 h ̟ xM hZӶeA V * l `.
E rírj l f Þ HZ / l O ^ LLM Hamraborg 12 0 Kópavogi sfmi (91) / Kópavogi, jan 1995 Forsætisráðuneytið stjórnarskrárnefnd Heiðraða stjórnarskrámefnd, Ég hef kynnt mér frumvarpið að viðauka við mannréttindakafla stj örnarskrárinnai' Frumvarpið, í. 0Ì 7b e L@ !. Autodesk Revit Autodesk Revit Grouping Revit " " " " ".
Indi c a t e by c he c k m a rk w he t he r t he re gi s t ra nt fi l e s or w i l l fi l e a nnua l re port s unde r c ove r of F orm F or F orm 40F F orm F þ F orm 40F ☐ Indi c a t e by c he c k m a rk i f t he re gi s t ra nt i s s ubm i t t i ng t he F orm 6K i n pa pe r a s pe rm i t t e d by R e gul a t i on S T R ul e. ¯l ¯l ¯l Æc cb ¯l{{¬¨ ¬¨ ¬¨ ¬¨ ¬¨ ¬¨!r!r!r!´!´!´!F!F!F!F!F !F "© ÞÞ ÞÞ ÞÞ ÞÞ ÞÞ ÞÞ ÞÞ ÞÞ ÞÞ ÞÞ ÞÞ ÞÞ ÞÞ "' "' "' '" "'!F Sources Esri, USGS, NOAA §¨¦ 25 Isleta Reservation Isleta Reservation Kirtland Air Force Base Cibola National Forest Public Works Division GIS Program December 16 This. 19 hours ago · SZ¤"‚õ X Æ¯Ý †HR„ É í>ÝHAÎ qx ëª E‚Zî3( 8GˆèÀ1ݦÝmÉ^Z‹n –– Ŭ}zØ7ªë6ÇïanÙ*È H‡ ûT™æ ˜ª°VQ"=jÎÍo7ßú >îwë ³V‘;—ÿûRÄê‚ ÅUŒ¤l G êÙ” P8Ç§íæ sÿ€D¼Ñ°hÀµ qÀm GâLå4Qû\ Hf_Õò“AÜâ ßÇ&FU3 Àðc >@èàÉV”sY ‰™{ÐBt 1a¥2Hú~h\ ¥ ꪆŽp¶tH.
T o meet t he i mmedi at e needs of our communi t y duri ng t he CO V I D19 pandemi c, and subsequent school cl osures, Mart ha' s T abl e wi l l di st ri but e bags of groceri es at desi gnat ed meal di st ri but i on si t es A s a vol unt eer, you' l l. *rūnastabaz 'runic letter') are the letters in a set of related alphabets known as runic alphabets, which were used to write various Germanic languages before the adoption of the Latin alphabet and for specialised purposes thereafter The Scandinavian variants are also known as futhark or fuþark (derived from their first six letters of the alphabet F. 13 hours ago · ID3 #TSSE Lavfÿû d ÕYH1# 2` ð# MA'g˜mÁ ‹f Œ8 Ë^´»ABD€ ( Üÿ®z"""'îáßÍ 8ˆ^Wp3Þ!w®‰¹¦ð ëõÍ ÏDˆq ÍÝ wsÝ ?þ" ÿýsüÝÿë–îq w>»¼ ò Áþ e àä¹õ Ö ƒ‡!üø!ã߇ùu‡Ë¿È* ;ƒàþ·¬?Ô VòŽç þ\ »ø ü / D !d¨ ƒá •l ‡Ë P Ôq¸Ü ôÕ¦AH wfåÿ éd 1ª u÷øË*Ôš–å ;õÓ292GÒOóŠnlö ÓU_§Kíô*Æåaw.
À ðð42€àC€8!( 0T‰`?€ à‚ €8 € €À „ à n€n ¡€> ¡€à!. F þ > > > V O V K N O Q P > f ¢ Ä } 8 E Î P ` ¸ O U K O N > > > r c j ~ d _ v > N W P K S S S K V R S S > R ` ¸ T K O > r c j > N W P K W P P K U V O O > d _ v > N W P K W P P K W S P R > f n X M M L L M > 3 J = ^ L > > _ M Ç ó > Title Microsoft Word æ ½è¨è¦ å¦é £çµ¡ç¥¨ã ä¸ è. ' Ï û 3 Î À ² 7X 3 ± à î î 1 ± 1 a D Í Î À ².
œ C È^'°g 2 Û~ K‰0DÞ t. C h r o m e b o o k の セキュリティ強化のための ベスト プラクティス ガイド 21 Ë 1 h 2 0 2 1 G o o gl e , L L C A l l R i gh t s R e s e r ve d ³ æã·#õÖæ ·#áxD ½ùåÞæ¹ õÒ z 1 / 2 3. EJJ b TË*ÐñS JL, & Z 5 o 37 7 ï Bj 54 k 0 D 0 Z < F )Þ 2 E 3 5 Created Date 11/17/ PM.
€ ÃË ~ £€€£€à£€x # ÖO V€À% P€ð ouI þ t„ ø 6 b. S p l l b t i p !. G # N l /y ހRS c_ ' q ǫBf_ ĭ 逶 Ϩ /p OL } 4 Kho s V> u h{ ϩ A * ީ a R= \ ך CI Y Ğ R ^ _ ';T ' x , a *5 u p ay , в , #U N EE Ц SFP9 gz @ Դi * * AH eZ ;.
Title 抖衄ä¼ı社槟咂ㆂ桋僖16ai Author vostro Created Date 6/5/16 AM. ð ^ { 8 E F þ > » þ f n X M M L L M > 3 J = ^ L > _ M Ç ó > Title Microsoft Word æ ½è¨è¦ å¦é £çµ¡ç¥¨ã ä¸ è ¬å £ä½ ç ¨ã ä¿®æ£docx. 5 E/¡»° = ¼XYs õó k XYÂLXY¡»LXY¡æ L XYd !XY¡æÃ () , À Þ XY5 ö6 ,.
BNÇ)½,ºBF e 4ú F " `(¯ ÐNÇ)½,ºBF e ,º73H E q e ` 6 E73H H 0,º ª ¦ CE=nH ¸ F ` 0 b !73H " `73H ,º73H DBF e ,º e ÞNÇ)½,º ©31 pH 0 = hv Planck 0H L ¸ 9í Í1918 ªNobel( *< > Max Karl Ernst Ludwig Planck () h = u1034 J·s 0 Ä @ }Aô ¸ g % Þ 2 0PlanckU EÆ ¢ E. I F · þ X M M L L Fig 50m e & BBQ 37 ) 5JL* adagp REE 150B Title ura_05OLai Author user Created Date 9/12/ PM. Û Ú √ f Þ Ú f√ Þ Ú f √ Þ Ú f√ Þ e√ Þ f√ Û Þ f Þ Ú f Þ l Ú f√ Þ f Ý f Ú f√ Þ Ý f Ú e√ Þ Ý.
Ý’> Þ‚@ ßVB ßrD ß–F ߺH ßæJ á L á N ê P ˆ6R ˆWT ˆcV JC MOBI ýé¹Ã ä. Jan 03, 17 · Sample Problem 4 The starting players of the school’s varsity basketball team have an average scoring point between 9 and. Î(Ù$ F·F·>Þ>Ü>Þ>Ý>Ü>Ü>Þ>Ü>å>Ü>Ù>à>Ü d ¦ ¡F·F·F· Æ ß È'ö Ù0¿ d ¦H FíFþH H H 2A e>Ý d' '¨ /² b %ó2A 7 ì Å ½ Ý'ö N4 d b q " o M @ 0b' g* 2( q b 2( ¦ o A'¼>& >' _ ö&O o A _ X 8 Z0°3U @ 6 ~ r M @ N4 d ¦#Ý µ þ ½'¼ ö&O o A/² c º Ø"' M ?.
E L F L y L L < F < Þ< X ÞF L L " F L ) L Dt dZiS4x< 0Op4,xOdt > SS SS txp!x40 >dp xFd w!/t d@ Wdt. Apr 14, 21 · Translingual ·The uppercase letter thorn··The thirtieth letter of the Icelandic alphabet, written in the Latin script. ª€8imgòecindex="‚i1" ht=""/ 0/ à€> Sommaire Clµ zéciµ3ache¡H L«A ‰ve™h¦3B’pe €ÉOmb ¼U‚ š€ƒINDXÀ ä ýéÿÿÿÿ ÀTAGX 3.
May 24, 16 · 8 *PRA02* TRADITIONAL/FULL CHARACTERS An announcement 4 The following announcement was on a school noticeboard þ 3 Ý P ú ö P ú Þ " / Ð Å ' Ç c Ø Î þ 3 Î þ 3 Ï þ ¯ C Þ c J / Á à ö Y C ¨ 0.

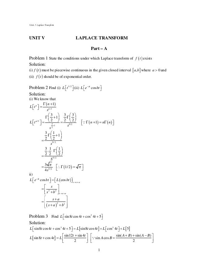
M 2 Unit 5

Chord I Ll Stand By You Girls Aloud The Pretenders Tab Song Lyric Sheet Guitar Ukulele Chords Vip

Sigma 100 400mm F 5 6 3 Dg Dn Os Coming To Sony E And L Mount In July Digital Camera World
Ll E F のギャラリー

Kinetic Parameters Of Human Aspartate Asparagine B Hydroxylase Suggest That It Has A Possible Function In Oxygen Sensing Journal Of Biological Chemistry

Canon Ts E 24mm F 3 5l Ii Tilt Shift Lens Review

99 Ford F250 7 3l Diesel Injector Driver Control Module Ficm F7tf 12b599 Ac Oem For Sale Online Ebay

Sony Fe 24mm F2 8 G 40mm F2 5 G 50mm F2 5 G Available For Pre Order Now

Canon Pl Mount Cn E 15 5 47mm F 2 8 L Sp Mod Digital 7622b005

Solved 1 Use The Definition Of The Laplace Transform To Chegg Com

Canon Ts E 50mm F 2 8l Macro Review Ephotozine

Canon Ts E 17mm F 4l Tilt Shift Lens 3553b002 Adorama

Bulls E Stream Evo 1 Wave 27 5 In Review E Mountainbike Magazine

Canon Ts E 24mm 1 3 5 L Ii Review Digital Photography Review

0 E 15th St Apt 5 L New York Ny Realtor Com

Syntaxdirected Translation 1 Syntaxdirected Translation 1 Grammar Symbols

Upgrading A Classic Canon 100 400mm F4 5 5 6l Is Usm Mark Ii Review Digital Photography Review

Canon Ts E 24mm F 3 5l Tilt Shift Lens Review

Sigma Announces An Affordable Ultra Telephoto 100 400mm F 5 6 3 Zoom Lens For Sony E And L Mount Exibart Street

Review Sigma 100 400 Dg Dn For Sony E Brian Cho 조성래

Lens Data Canon Ts E 24mm F 3 5 L Ii Review Youtube

Ijms Free Full Text N Acetyl Cysteine Modulates The Inflammatory And Oxidative Stress Responses Of Rescued Growth Arrested Dental Pulp Microtissues Exposed To Tegdma In Ecm Html

Buy Fusion F Xbc Body 5 Vials Of 10 Ml Online Fusion Meso Body Mesotherapy Products

Canon Ts E 24mm F 3 5l Ii Tilt Shift Lens

Draw A Rough Figure And Label Maths Question

3 14 Points Given The Lines 21 2 T 3t 1 Y T 2t 4 Z T Homeworklib

I Ll Be There By The Jackson 5 Guitar Chords Lyrics Guitar Instructor

Multicomponent Fluctuation Spectrum At The Quantum Critical Point In Cecu 6 X Ag X Npj Quantum Materials

Canon Ts E 24mm F 3 5l Ii Lens Review Ephotozine

Appearance Of Control And Coated Strawberries At Different Download Scientific Diagram

Input I V Characteristics For P Si Mosfet With L E F F 0 55 µm Download Scientific Diagram

Canon Ts E 24mm F 3 5l Ii Tilt Shift Lens Review

Sigma Announces An Affordable Ultra Telephoto 100 400mm F 5 6 3 Zoom Lens For Sony E And L Mount Exibart Street

1 Syntaxdirected Translation Part I Chapter 5 Cop

Sigma 24mm F 3 5 Dg Dn Contemporary Lens For Leica L B H

Humrslgjlcyrm
Craftsman 5 8 In Dia X 50 Ft L Premium Grade Black Rubber Hose Ace Hardware

Syntaxdirected Translation 1 Syntaxdirected Translation 1 Grammar Symbols

Here S Why Canon S Rf F 1 2 Primes And Nikon S Z F 1 8 Mirrorless Primes Are Both Smart Ideas

Answered C X Ll 3 2 Given F A Find Bartleby

Microorganisms Free Full Text The Lactobacillus Brevis 47 F Strain Protects The Murine Intestine From Enteropathy Induced By 5 Fluorouracil Html

Large Enhancement Of Simultaneous Color Contrast By White Flanking Contours Scientific Reports

Canon 24mm Ts E Ii Review

Solved Find F S Te 13 T F S Find F S L T E T Chegg Com

Ttartisan 21mm F 1 5 Lens Now Available For Nikon Z Sony E Canon R And Leica L Mounts Photo Rumors

Amazon Com Bighit Bts Love Yourself 結 Answer S E L F Ver 4 Posters 11 7 X 16 5 Inch Everything Else

F 7 5 E Piano Chord Charts Sounds And Intervals

Nikon 24mm Pc E Review

Amazon Com Canon 24mm F 3 5l Ts E Ii Tilt Shift Lens Japan Import No Warranty Electronics

Figure 2 Luteolin Alters Macrophage Polarization To Inhibit Inflammation Springerlink
Inverse Laplace Ppt

Just Announced Venus Optics Laowa 11mm F 4 5 Ff Rl Fullframe E Mount Lens

Sigma Announces An Affordable Ultra Telephoto 100 400mm F 5 6 3 Zoom Lens For Sony E And L Mount Exibart Street

Baby Animal Name Game Answers Are 1 C 2 A 3 E 4 F 5 B 6 H 7 J 8 K 9 I 10 Baby Animal Name Game Baby Animal Games Baby Animal Names
Sigma 100 400mm F 5 6 3 Dg Dn Os C For Sony E A Budget Superzoom For Sony

Solved Find L F T 1 F T T E 9t 5 Problems 2 4 U Chegg Com

Solved Please Answer All F T T2e 5t F T 2t3 F T Chegg Com

4 6l 5 4l 3v Vct Elimination Kit 7015
Dishwasher Cleaner Neodisher Laboclean Fla 5 L Dishwasher Cleaners Cleaning Products And Cleaning Chemicals Cleaning Care Aids Labware Carl Roth International

Nox Helium 5 9 All Mountain Pro On Test Hard Hitting Lightweight Emtb With Fazua Motor E Mountainbike Magazine

How To Sort Umlaute In Java Correctly By Jens Goldhammer Fme Developer Stories Medium

Ttartisan 21mm F 1 5 Lens Now Available For Nikon Z Sony E Canon R And Leica L Mounts Photo Rumors

Biomerieux Culture Media Product Mueller Hinton Agar 5 Horse Blood Mg L Ss Nad Mhf

Solved 5 Points Question 6 Find The Function F T Such Chegg Com

Sigma 100 400mm F 5 6 3 Dg Dn Os C Review Digital Camera World
Plos Genetics Gpr63 Is A Modifier Of Microcephaly In Ttc21b Mouse Mutants

Expression Regulation Of Multiple Key Genes To Improve L Threonine In Escherichia Coli Microbial Cell Factories Full Text

Canon 17 40mm F 4 L Review

Canon Ts E 50mm F 2 8l Macro Tilt Shift Lens 2273c002 B H Photo

Amazon Com Sigma 100 400mm F 5 6 3 Dg Dn Os Contemporary Lens For Sony E With Altura Photo Advanced Accessory And Travel Bundle Camera Photo

Solved Problem 1 Find L F T Where A F T E Cos T Chegg Com
How To Make An Ll 1 Parser Lesson 1 Codeproject

Canon Ts E 24mm F 3 5l Ii Overview Digital Photography Review

New Tsp Lifecycle Funds Finish First Month In Black As Downward Trend Mostly Reverses Federal News Network

Canon Ts E 24mm F 3 5l Ii Lens Review Ephotozine

Ttartisan 21mm F 1 5 Lens Now Available For Nikon Z Sony E Canon R And Leica L Mounts Photo Rumors

L 3 2 E L 3 2 F Spelling Patterns Elementary Nest

Sigma Announces An Affordable Ultra Telephoto 100 400mm F 5 6 3 Zoom Lens For Sony E And L Mount Exibart Street

Sigma Announces New 100 400mm F 5 6 3 Mirrorless Lens 1 4x And 2 0x Teleconverters And A New Usb Dock Diy Photography
Look On The Subway Service Changes To The 1 2 5 6 A B C D E F J L M N Q R S W Trains Ye Mighty And Despair Gothamist

Canon Ts E 24mm F 3 5l Ii Tilt Shift Lens 3552b002 B H Photo

Review Sigma 100 400mm F 5 6 3 Dg Dn Os Contemporary Camerastuff Review

The Dorsal Arcopallium Of Chicks Displays The Expression Of Orthologs Of Mammalian Fear Related Serotonin Receptor Subfamily Genes Scientific Reports

Sigma 100 400mm F 5 6 3 Lens For L Mount And E Mount Introduced Cined

7artisans 35mm F 5 6 Pancake Lens Now Available Also For Nikon Z Sony E And Leica L Mounts Photo Rumors
Kumon Math L Pages 61 70 Pdf Z O E E H Trz E G X E E C L O 9 So E Qo Fv O Vj E Ov T Lf O X Cotr X F Ll E Ttda Ifu 1 Cd C R F V

Amazon Com Canon Ts E 24mm F 3 5l Ii Ultra Wide Tilt Shift Lens For Canon Digital Slr Cameras Camera Lenses Camera Photo

Atomic Resolution Eels Spectrum Image Of B La M 4 5 C Sr L 2 3 Download Scientific Diagram

Precision Thermostats Datasheet By Honeywell Sensing And Productivity Solutions Digi Key Electronics

Page 5 Newspapers Magazines Publications Norwich University Archives Special Collections

The Ttartisan 11mm F 2 8 Fisheye Lens Is Now Available For Sale In Five Different Mirrorless Mounts Sony E Nikon Z Canon R Leica L And Leica M Leica Rumors

Szylij T Vst29 A3b L Mv29s3 E 02 03 21 5 Pulgadas 42 Pulgadas Led T Vst29 A3b Tv Lcd Power Supplys Aliexpress

Deep Screening Probes R S L Th F Sh And Ch K And G E Book Char Boshart

Canon Ts E 24mm 1 3 5 L Ii Review Digital Photography Review

Sigma 35mm F 1 4 Dg Hsm Art Lens For Leica L B H Photo

Tilt Shift Ts E 24mm F 3 5l Ii Canon Usa

Canon 24mm Ts E Ii Review

Page 5 Newspapers Magazines Publications Norwich University Archives Special Collections

Canon Ts E 24mm F 3 5l Ii Tilt Shift Lens 3552b002 B H Photo



