Qrrh Cxga
May 04, 21 · 2 ²„$q # ‡ X'7 ƒ8} ÔíSk0Z!ñ ÉØ‘ž RÏÿl0€{ i‰ ˆ}Ä´kH©¹ JI7FG£‘D1&¦/"D°€C ¥ªÓh«ö©=ÙŠžÇ)š¿ö aL)“1è– i 2um fO ñOâ.
						 
					
Qrrh cxga. 9¥®›ÇX ⢠c N@Θ ve ò!£ÿ"–´ªE£o¡= ® î6¡gö øõÍ„J/"RÇ^/· /!~è½ ìO·ŠDɳ{€Äà dc 5 ¾£ dû4„y€»YýÃ Ç š° æè. Ü4hdâ# ‰ ãñb ÂИ aÝ” ø Æ@Ê L ûù,~¯s“unU«K^Sz––7 µZC —å(·Z•ß”ËÈ œàA˜˜@ ‚ ~"¶ ƒã$t)p{á0ýúJXì¾ÔŽb.

Qr Font Tfb Font Free Download Similar Fonts Fontget

Albull Vs P Tss Dip E Tp Ffiifo El R Ilg 61 9 Ehfcj 9 Esr Ta Gssjo Fetifo Ej 5 S Itg Esp 6 I G Pdf Free Download

Report The C Ore C Om M Ittee Ju Stice Sh Iv R A J V Pa Til
Qrrh Cxga のギャラリー

Codigos Qr Generador De Codigos Qr Qr Codes

01 2 456 7 8 9

Inegalites De Sobolev Logarithmiques Et Hypercontractivite En Mecanique Statistique Et En E D P

An Electrical Circuit Of R Qr Model Download Scientific Diagram
الشيخ عبدالعزيز بن عبدالله الخضيري

Gold B2 First Coursebook Docsity

Page 94 23期

Pdf Qr Code Watermarking For Digital Images
0 Lmn Lo L Pq R L Stu V W Xy Z 1 A B Cd Efgh Bij Ekgh Leemnopqrst U5 Vswx Y Bgz

A A A A A A A

Algorithm 1 Batch Idr Qr Download Scientific Diagram
الفيلم الوثائقي العربي محاولة في التأسيس

From Pictures At An Exhibition

If The Pth Qth Rth Terms Of A G P Be A B C Respectivel

Catalogo Cannondale By Bikemtb Net Issuu

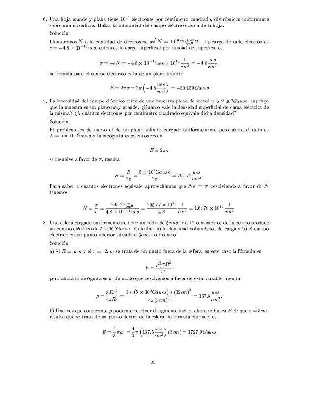
Ejercicios Resueltos De Electricidad Con Ley De Coulomb

Hierarchical Matrix Arithmetic With Accumulated Updates Springerlink

Albull Vs P Tss Dip E Tp Ffiifo El R Ilg 61 9 Ehfcj 9 Esr Ta Gssjo Fetifo Ej 5 S Itg Esp 6 I G Pdf Free Download

Gold B2 First Coursebook Docsity

Catalogo Focus Bikes By Bikemtb Net Issuu

Ejercicios Resueltos De Electricidad Con Ley De Coulomb

From Pictures At An Exhibition

Solution Of The Matrix Equation Ax Xb C F4
Report By The Board Of The International Geological Correlation Programme On Its Activities 00 01 Chi Unesco Digital Library

An Electrical Circuit Of R Qr Model Download Scientific Diagram

Inox Annual Report 18 By Inox Inox Issuu

Problemas De Fisicoquimica Levine By Rocio Rojas Issuu

Pdf Qr Code Watermarking For Digital Images

Whirlpool Awm 3080 Awm 5080 Awm 3050 Awm 5060 Awm 3060 Awm 5050 Awm 3100 User Guide Manualzz

Ic Ic Jc Jc Fotos E Imagenes De Stock Alamy
0 Lmn Lo L Pq R L Stu V W Xy Z 1 A B Cd Efgh Bij Ekgh Leemnopqrst U5 Vswx Y Bgz

If A 0 2q R P Q R P Q R And A A I Then Value Of

Exercicios Resolvidos De Mecanica Estatisticamarianercortes Resolucao Do Capitulo Docsity
Apikit Odata Example Example Sql At Master Mulesoft Apikit Odata Example Github

Code 128 Wikipedia

Codigo Qr Wikipedia A Enciclopedia Libre
Adminer Adminer Php At Master Friendsofredaxo Adminer Github

Ph Dependent Specific Binding And Combing Of Dna J F

Solved Use The Kkt Conditions To Solve The Following Prob Chegg Com

Daniel Chateigner Publications

Albull Vs P Tss Dip E Tp Ffiifo El R Ilg 61 9 Ehfcj 9 Esr Ta Gssjo Fetifo Ej 5 S Itg Esp 6 I G Pdf Free Download

Ne Pa A Lia C Stru N Vod Do Syst Mu Lat8x 2b Neboli

Solution Of The Matrix Equation Ax Xb C F4

An Electrical Circuit Of R Qr Model Download Scientific Diagram

Sat Mathematics Level 2 Practice Test Mymaxscore Com

If P Q R Be Real Then The Intervals In Which F X X P 2 Pq P

यद Q 0 1 ब द ओ P 5 3 और R X 6 स समद रस थ ह त X क म न ज

Raspberry Pi Implemented With Matlab Simulation And Communication Of Physiological Signal Based Fast Chaff Point Rpsc Generation Algorithm For Wban Systems

Qr Font Tfb Font Free Download Similar Fonts Fontget

Comparative Study Of Rsa With Optimized Rsa To Enhance Security Springerlink

Code 128 Wikipedia

Fiitjee Question Papers From Rankers Study Material For Iit Jee By S Dharmaraj Issuu

R A œgalileo Galileia Gg


 
        
