
Lambda Calculus Pdcs 2 Alpharenaming Beta Reduction Eta
Pdf Numerical Expansion Methods For Solving Integral Equations By Interpolation And Gauss Quadrature Rules K Maleknejad Academia Edu
Asan Namaz Www Tauheed Sunnat Com Pdf Www Alkalam Pk 5µv Gzzv Y 0ig Og Izsg Z S W Y I Uy W Gzz N Sy E O A Zo A Thz Course Hero
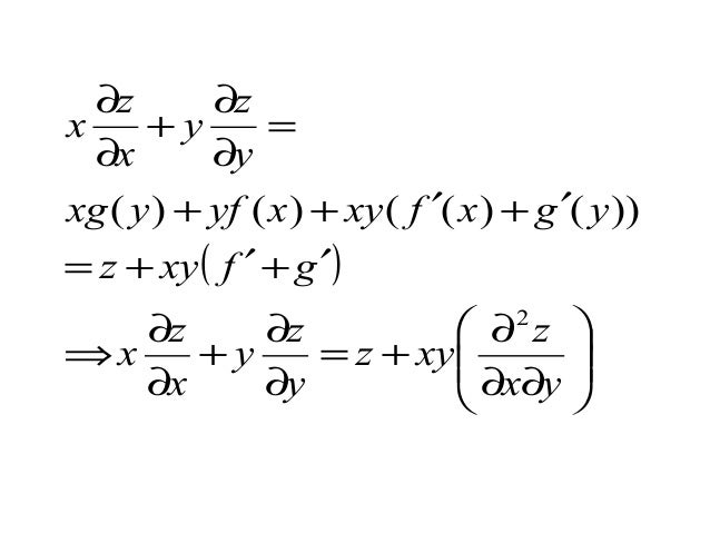
Xz Cxg F のギャラリー

Qualitative Spatial Reasoning Ppt Download
Altgr Key Wikipedia
Multivariable Chain Rule Simple Version Article Khan Academy

Lambda Calculus Pdcs 2 Alpharenaming Beta Reduction Eta
Pdf Theory And Problems Of Advanced Calculus Second Edition Schaum S Outline Series Yusuf Yusuf Academia Edu
Solved Find And Sketch The Domain Of Each Function A F Chegg Com

If G Is The Inverse Of A Function F And F X 1 1 X 5 Then
Pdf Solutions To Skill Assessment Exercises Chapter 2 2 1 Leonardo Correa Academia Edu

Comparision Of The Z C Resonance Pole Positions Determined In This Work Download Scientific Diagram
Pdf Matlab Companion For Multi Variable Calculus By Jeffery Cooper 01 Irfan Jamil Academia Edu
Heaovc3owi7lum
Multivariable Chain Rule Simple Version Article Khan Academy

Calameo Islamic Book

Jab Zindagi Shuru Ho Gee

Relational Database Design Theory Ppt Download
Pdf Digital Signal Processing An Introduction With Matlab And Applications Copy Zhenxing Yan Academia Edu

Lambda Calculus Pdcs 2 Alpharenaming Beta Reduction Eta

Pdf Generalized Taylor S Formula

Maths

Proof That F X 1 X Is Continuous On 0 Infinity Using Delta Epsilon Youtube

Consider The Functions F X And G X Both Defined From R R

Qualitative Spatial Reasoning Ppt Download
Mathematics For Economists Solutions Matematica 19

Complete Program Synthesis For Linear Arithmetics Ppt Download

Prerna Jee Advanced 13 Maths Paper 2
Ia Iuprree1r M
List Of Unicode Characters Wikipedia
Partial Differential Equation Notes

Maths
Thorn Letter Wikipedia

Find X Y Z And W Such That X Y 2z W 2x Y 2x W 5
Functions Inverse And Composite Functions
Altgr Key Wikipedia

Pictures Of Julia And Mandelbrot Sets

Functions Inverse And Composite Functions

Pdf Theory And Development Of Biplanar Active Shim Coils For A Permanent Nmr Analyzer

Arshanadam 2 Arshanadam 443 Page 7 Created With Publitas Com
Functions Inverse And Composite Functions

Functions Inverse And Composite Functions

Solved 10 Suppose F X Y Is A Differentiable Function O Chegg Com

Example 17 Show That F X 3x 4 5x 7 G X 7x 4 5x 3
If G Is The Inverse Of A Function F And F X 1 1 X 5 Then

Parametric Equations Differentiation Video Khan Academy
Side Norges Land Og Folk Nordre Bergenhus Amt 1 Djvu 615 Wikikilden

Lambda Calculus Pdcs 2 Alpharenaming Beta Reduction Eta

Ltpwc2 Gk8aftm

Jab Zindagi Shuru Ho Gee

Nanomaterials Free Full Text Carbon Nanotubes Incorporated Z Scheme Assembly Of Agbr Tio2 For Photocatalytic Hydrogen Production Under Visible Light Irradiations Html
Julia Set Wikipedia

If F And G Are The Functions Whose Graphs Are Shown Let U X F G X V X G F X And W X G G X Find Each Derivative Wyzant Ask An Expert

Resolution Ppt Video Online Download

If Tan 1 X Tan 1 Y Tan 1 Z Pi 4 And X Y Z 1 Then The Va

Pdf Serviceability Design Factors For Wind Sensitive Structures

Lambda Calculus Pdcs 2 Alpharenaming Beta Reduction Eta

Qualitative Spatial Reasoning Ppt Download
X Wiktionary

Lambda Calculus Pdcs 2 Alpharenaming Beta Reduction Eta

Q 2 14 Implement The Boolean Function F Xy X Y Y Z A With And Or And Inverter Gates Youtube

Pdf The First Integral Method For Solving Some Conformable Fractional Differential Equations

Ex 1 Find The Equation Of A Tangent Plane To A Surface Youtube
The Divergence Theorem Page 2

Ex 1 3 14 Let F X 4x 3x 4 Inverse Of F Is Class 12

Futhorc Anglo Saxon Runes By Aldomann On Deviantart
Help Needed With Calculus Question Wyzant Ask An Expert
Let F 0 2 R Be A Function Which Is Continuous On 0 2 And Is

Introduction To Instrumentation And Measurements Manualzz
Altgr Key Wikipedia

Hoover Htv 712 6 1 30 Htv 712 6 Sy Htv 712 6 1 16s Htv 712 6 30 Htv 709 6 30 Htv 710 6 30 User Manual Manualzz

Lambda Calculus Pdcs 2 Alpharenaming Beta Reduction Eta



